Open Access

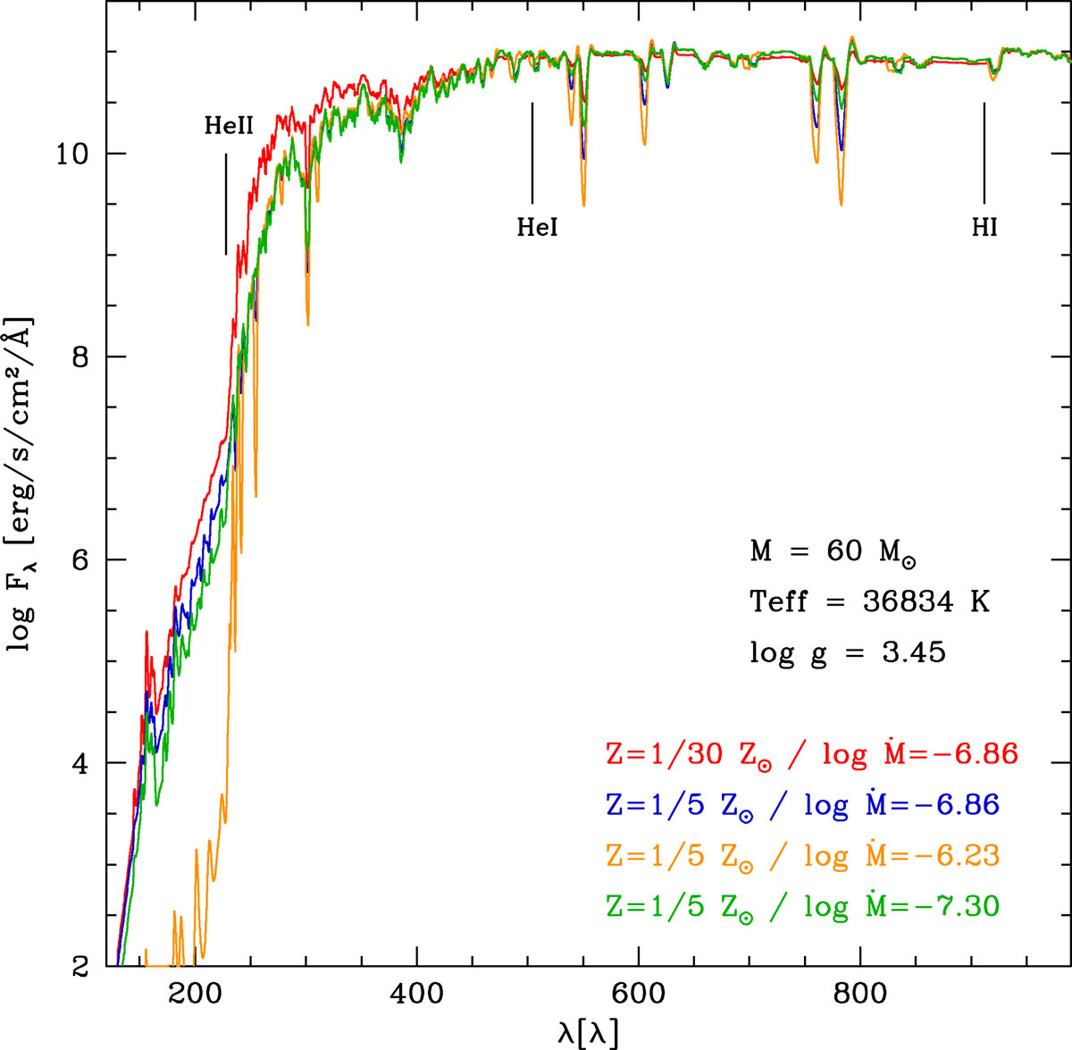
Fig. 13.

image

Effect of metallicity on the SED. The initial model (red line) is the fifth model of the 60 M series at Z = 1/30 Z. The blue line shows the same model for which the metallicity has been changed to 1/5 Z, all other parameters being kept constant. In the model shown by the orange line, in addition to metallicity, the mass-loss rate has been increased by a factor 4.2 according to Z0.8. Finally, in the model shown in green, the mass-loss rate has been reduced down to log = −7.30. The H I, He I, and He II ionizing edges are indicated by vertical black lines.

Current usage metrics show cumulative count of Article Views (full-text article views including HTML views, PDF and ePub downloads, according to the available data) and Abstracts Views on Vision4Press platform.

Data correspond to usage on the plateform after 2015. The current usage metrics is available 48-96 hours after online publication and is updated daily on week days.

Initial download of the metrics may take a while.