Open Access

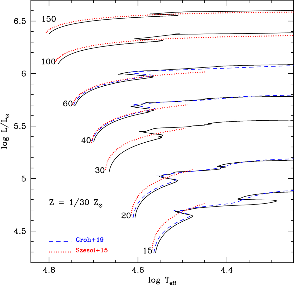
Fig. 7.

image

Comparison of evolutionary models without rotation at Z = 1/30 Z (our calculations in black solid lines), Z = 1/35 Z from Groh et al. (2019) (blue dashed lines), and Z = 1/50 Z from Szécsi et al. (2015) (red dotted lines). Initial masses are indicated at the beginning of each evolutionary sequence. For the Szécsi et al. (2015) 40 and 60 M tracks the actual values of the initial masses are respectively 39 and 59 M.

Current usage metrics show cumulative count of Article Views (full-text article views including HTML views, PDF and ePub downloads, according to the available data) and Abstracts Views on Vision4Press platform.

Data correspond to usage on the plateform after 2015. The current usage metrics is available 48-96 hours after online publication and is updated daily on week days.

Initial download of the metrics may take a while.