Free Access

This article has an erratum: [https://doi.org/10.1051/0004-6361/202039382e]


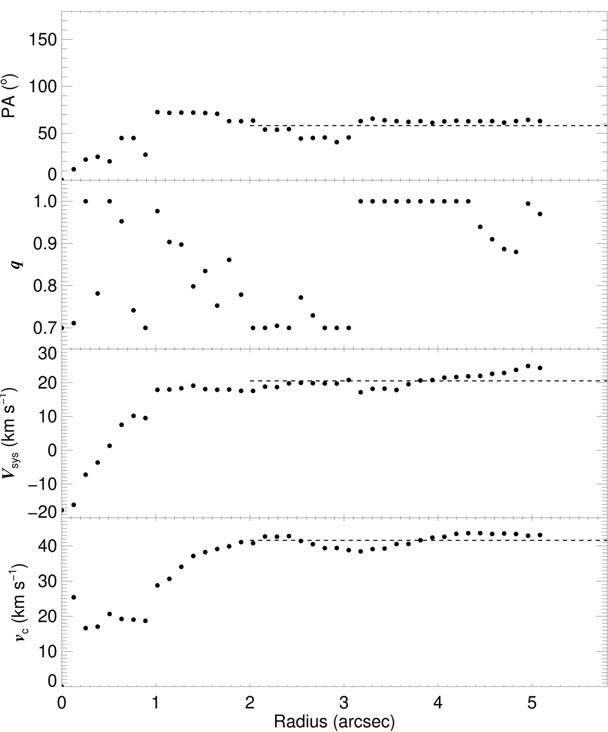
Fig. 9.

image

From the upper to the lower panel: position angle, axis ratio, systemic velocity (with respect to z = 0.016151), and circular velocity as functions of radius for the disc component of NGC 7130, as obtained with kinemetry. The dashed horizontal lines show the values averaged over radii larger than 2″.

Current usage metrics show cumulative count of Article Views (full-text article views including HTML views, PDF and ePub downloads, according to the available data) and Abstracts Views on Vision4Press platform.

Data correspond to usage on the plateform after 2015. The current usage metrics is available 48-96 hours after online publication and is updated daily on week days.

Initial download of the metrics may take a while.