Free Access

Fig. 2

image

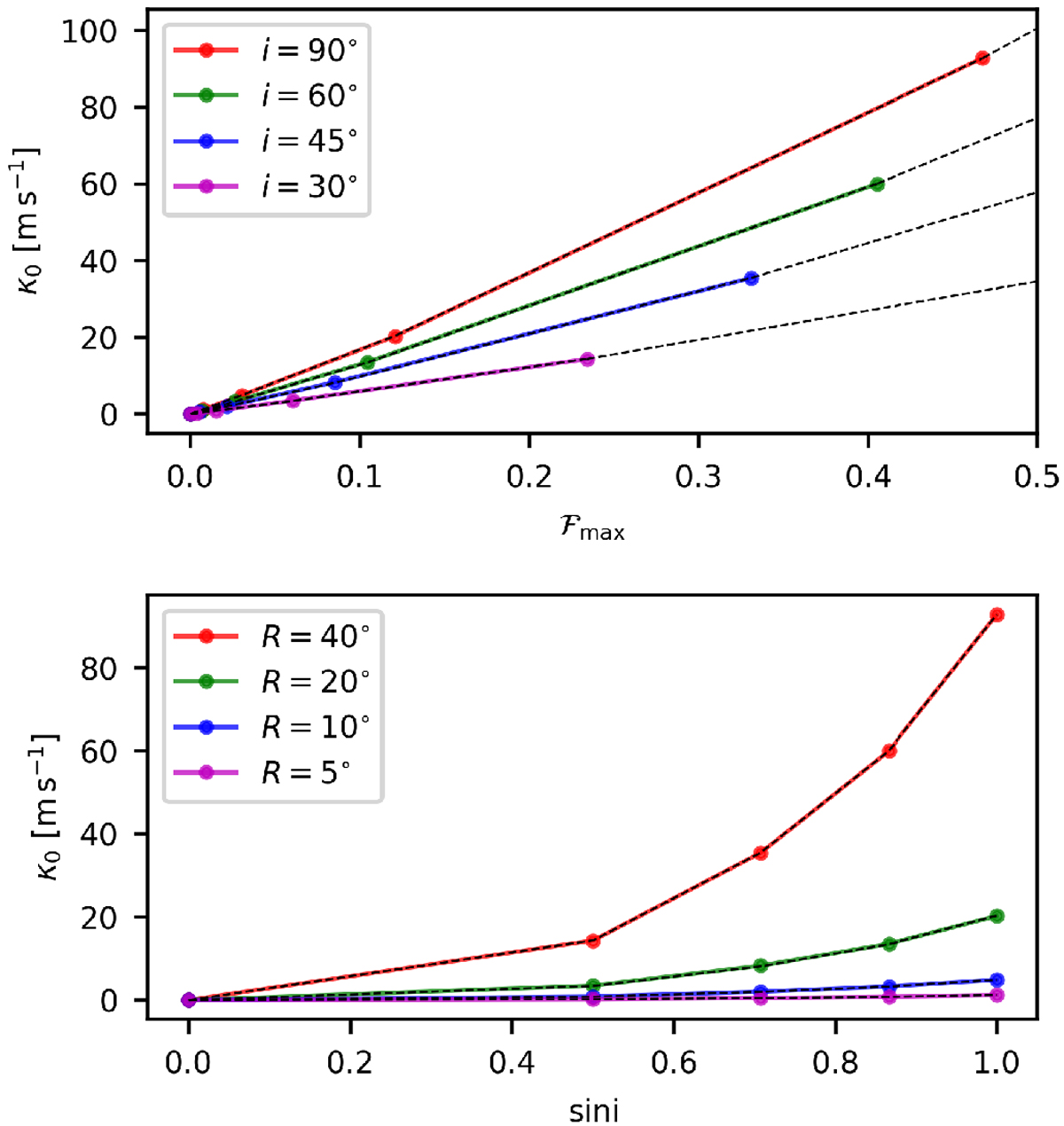
Square root of the maximum ACF value of our test-case M dwarf at τ = 0, κ0, as a functionof the maximum spot filling factor, (top panel), and of the sine of the stellar inclination angle, sini (bottom panel). The curves are shown with colours as indicated for the different inclinations and different spot radii. The black dashed lines are the best fits on the curves.

Current usage metrics show cumulative count of Article Views (full-text article views including HTML views, PDF and ePub downloads, according to the available data) and Abstracts Views on Vision4Press platform.

Data correspond to usage on the plateform after 2015. The current usage metrics is available 48-96 hours after online publication and is updated daily on week days.

Initial download of the metrics may take a while.