Free Access

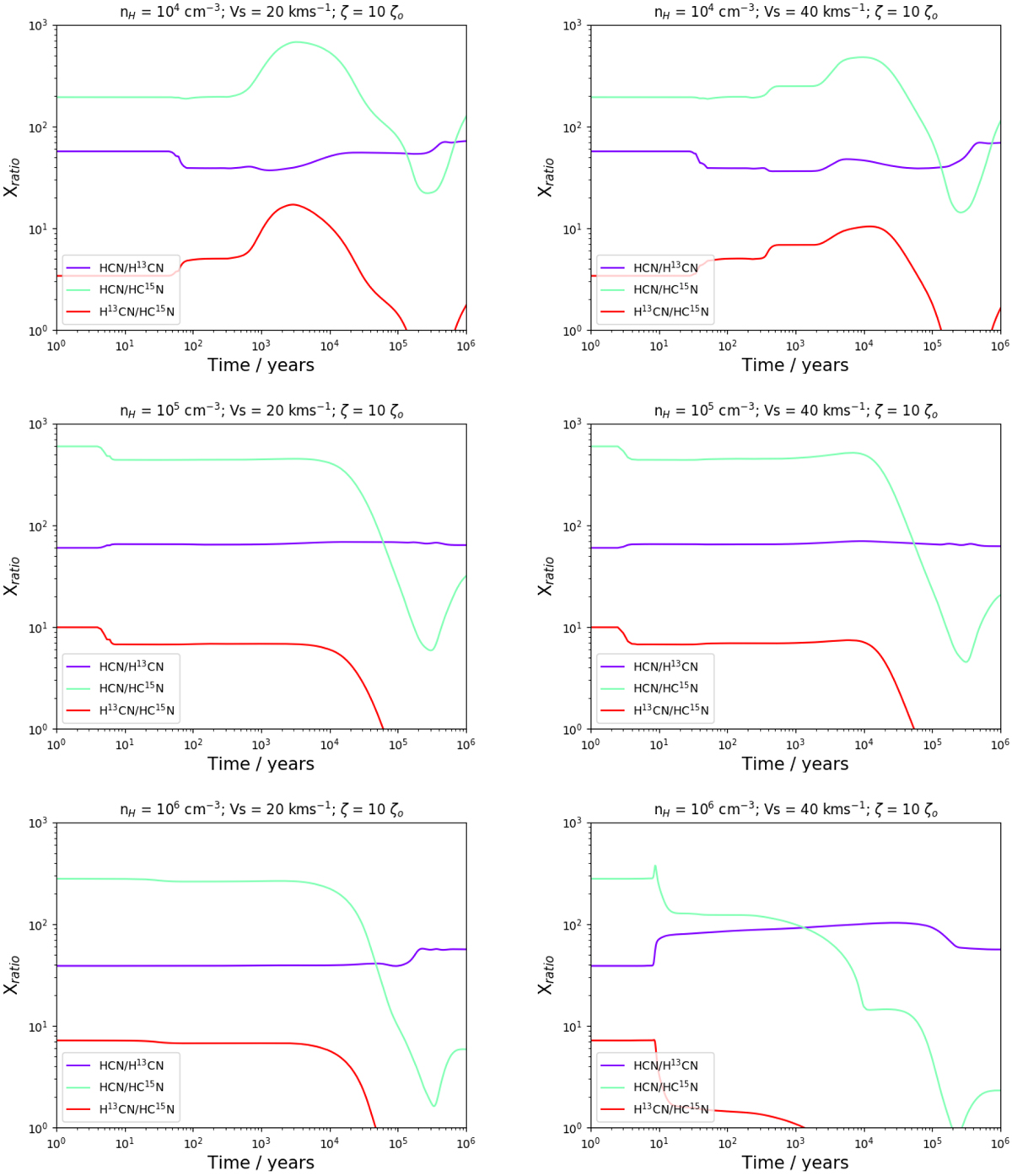
Fig. 5

image

Chemical abundance ratios of HCN, H13CN and HC15N as function of time, as derived from our shock models for several different physical parameters. The time = 0 yr corresponds to the advent of the shock. The values of the model parameters, namely Hydrogen particle density, shock velocity and cosmic ray ionization rate (in unit of the standard Galactic value of ζ0 = 3 × 10−17 s−1) are given at the top of each panel.

Current usage metrics show cumulative count of Article Views (full-text article views including HTML views, PDF and ePub downloads, according to the available data) and Abstracts Views on Vision4Press platform.

Data correspond to usage on the plateform after 2015. The current usage metrics is available 48-96 hours after online publication and is updated daily on week days.

Initial download of the metrics may take a while.