Free Access

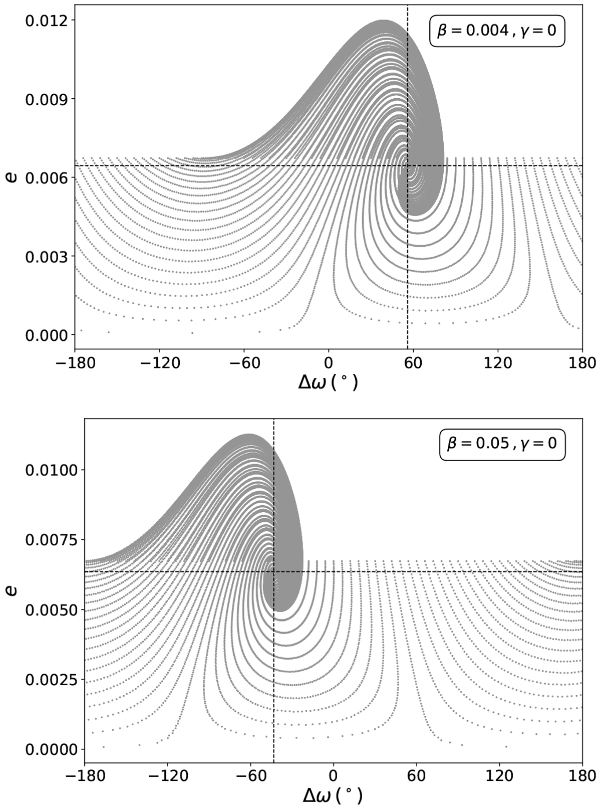
Fig. 9

image

Phase portrait on the (Δω, e) plane. Upperpanel: β = 0.004 for L4, and lower panel: β = 0.05 for L5. The horizontal and vertical lines indicate ek and Δωk obtained by minimizing the libration amplitudes, which are 0.00644 and 55.90° for the upperpanel, 0.006355 and − 43.24° for the lower panel.

Current usage metrics show cumulative count of Article Views (full-text article views including HTML views, PDF and ePub downloads, according to the available data) and Abstracts Views on Vision4Press platform.

Data correspond to usage on the plateform after 2015. The current usage metrics is available 48-96 hours after online publication and is updated daily on week days.

Initial download of the metrics may take a while.