Open Access

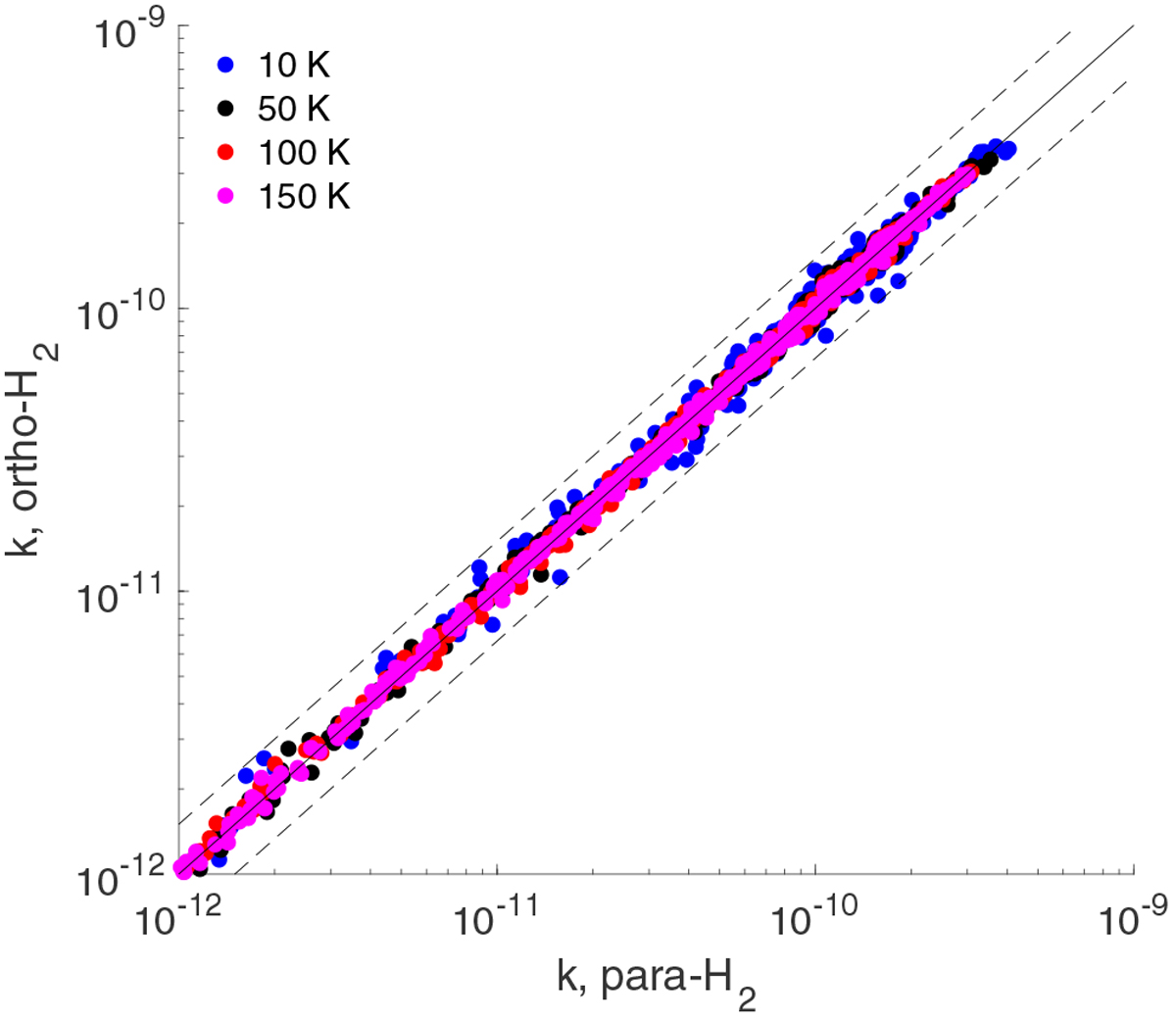
Fig. 2

image

Comparison between rate coefficients (in units of cm3 s−1) for the collisional excitation of CF+ by para- and ortho-H2. Rotational transitions involving the first 22 rotational levels of CF+ are presented at four different temperatures. The two dashed lines delimit the region where the rate coefficients differ by less than a factor of 1.5.

Current usage metrics show cumulative count of Article Views (full-text article views including HTML views, PDF and ePub downloads, according to the available data) and Abstracts Views on Vision4Press platform.

Data correspond to usage on the plateform after 2015. The current usage metrics is available 48-96 hours after online publication and is updated daily on week days.

Initial download of the metrics may take a while.