Open Access

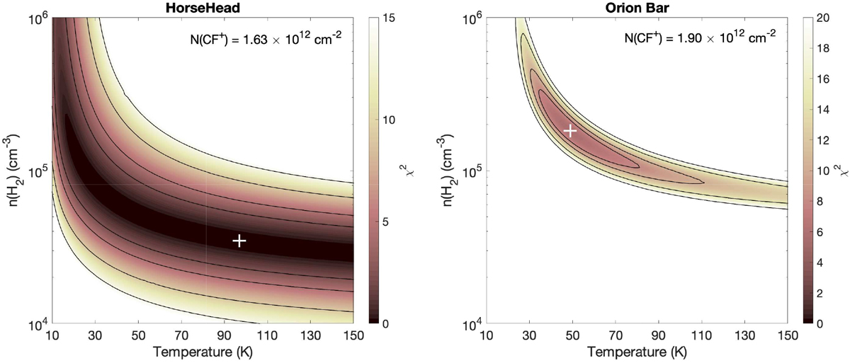
Fig. 5

image

χ2-value as a functionof the H2 column density and gas kinetic temperature for the Horsehead (left panel) and Orion Bar (right panel) PDRs. The solid black lines represent confidence contour levels of 63.3, 90.0, 99.0 and 99.9%. The sets of parameters (T, n(H2)) which give minimum χ2 are indicated with a white + symbol.

Current usage metrics show cumulative count of Article Views (full-text article views including HTML views, PDF and ePub downloads, according to the available data) and Abstracts Views on Vision4Press platform.

Data correspond to usage on the plateform after 2015. The current usage metrics is available 48-96 hours after online publication and is updated daily on week days.

Initial download of the metrics may take a while.