Free Access

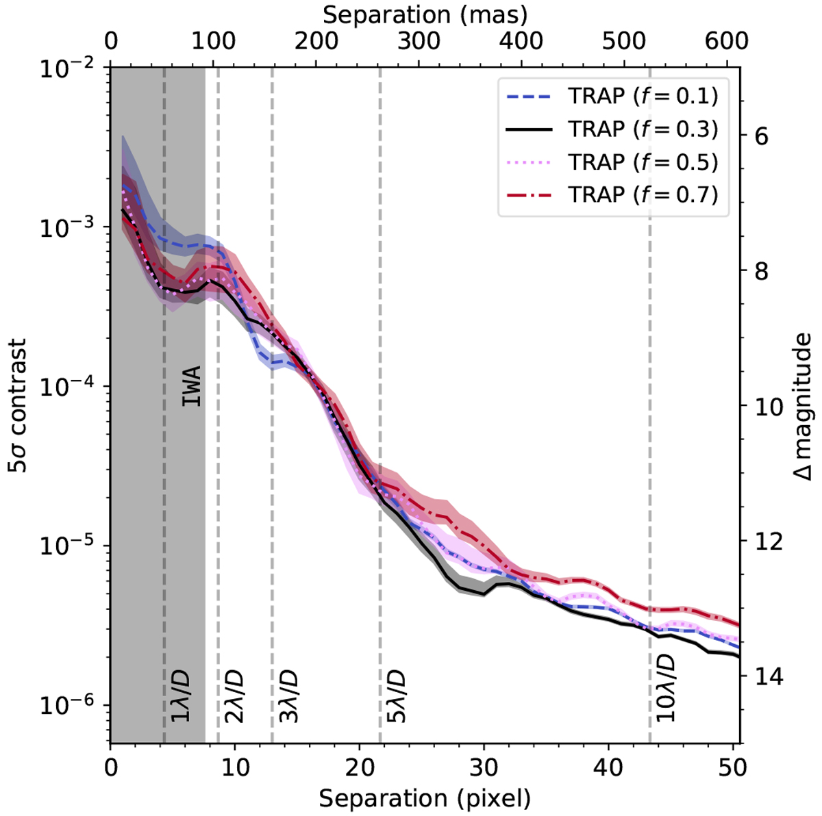
Fig. 8

image

Contrast curves obtained with TRAP for 51 Eri when different fractions of the maximum number of principal components are used. Figure description is analogous to that of Fig. 7.

Current usage metrics show cumulative count of Article Views (full-text article views including HTML views, PDF and ePub downloads, according to the available data) and Abstracts Views on Vision4Press platform.

Data correspond to usage on the plateform after 2015. The current usage metrics is available 48-96 hours after online publication and is updated daily on week days.

Initial download of the metrics may take a while.