Free Access

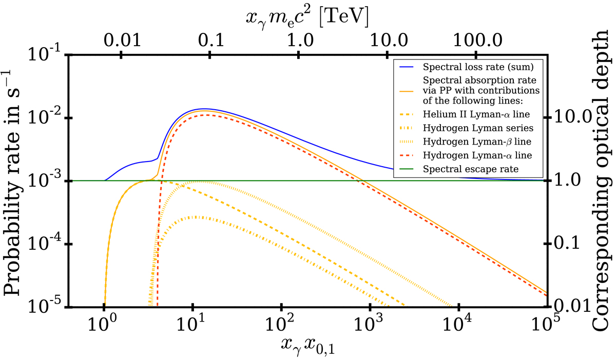
Fig. 4.

image

Various contributions (cf. Eq. (A.7)) to the photon spectral loss rate on the left-hand side ordinate in dependence on the product of the dimensionless highly energetic photon energy with the dimensionless energy of the highest energetic line. On the right-hand side ordinate, we plot the optical depth that corresponds to the respective contribution to the spectral loss rate.

Current usage metrics show cumulative count of Article Views (full-text article views including HTML views, PDF and ePub downloads, according to the available data) and Abstracts Views on Vision4Press platform.

Data correspond to usage on the plateform after 2015. The current usage metrics is available 48-96 hours after online publication and is updated daily on week days.

Initial download of the metrics may take a while.