Free Access

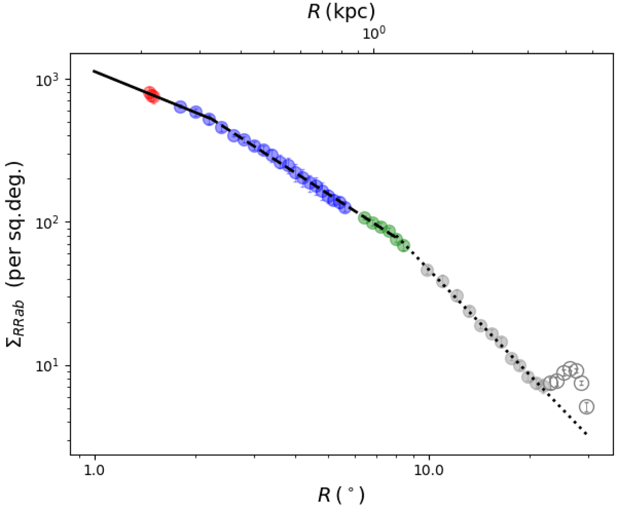
Fig. 3.

image

Projected density distribution of RRab stars in logarithmic scale together with the log-linear fits. The colour-coding is the same as in Fig. 1. The solid black line shows power-law fit for the innermost area of R < 2.2° with a slope of mRRab[1] = −0.94 ± 0.051. The black semi-dashed line shows the best fit for 2.2° < R <  8.0° with a slope mRRab[2] = −1.50 ± 0.019. The best fit for 8.0° < R < 30.0° corresponds to the black dotted line with slope mRRab[3] = −2.43 ± 0.043.

Current usage metrics show cumulative count of Article Views (full-text article views including HTML views, PDF and ePub downloads, according to the available data) and Abstracts Views on Vision4Press platform.

Data correspond to usage on the plateform after 2015. The current usage metrics is available 48-96 hours after online publication and is updated daily on week days.

Initial download of the metrics may take a while.