Free Access

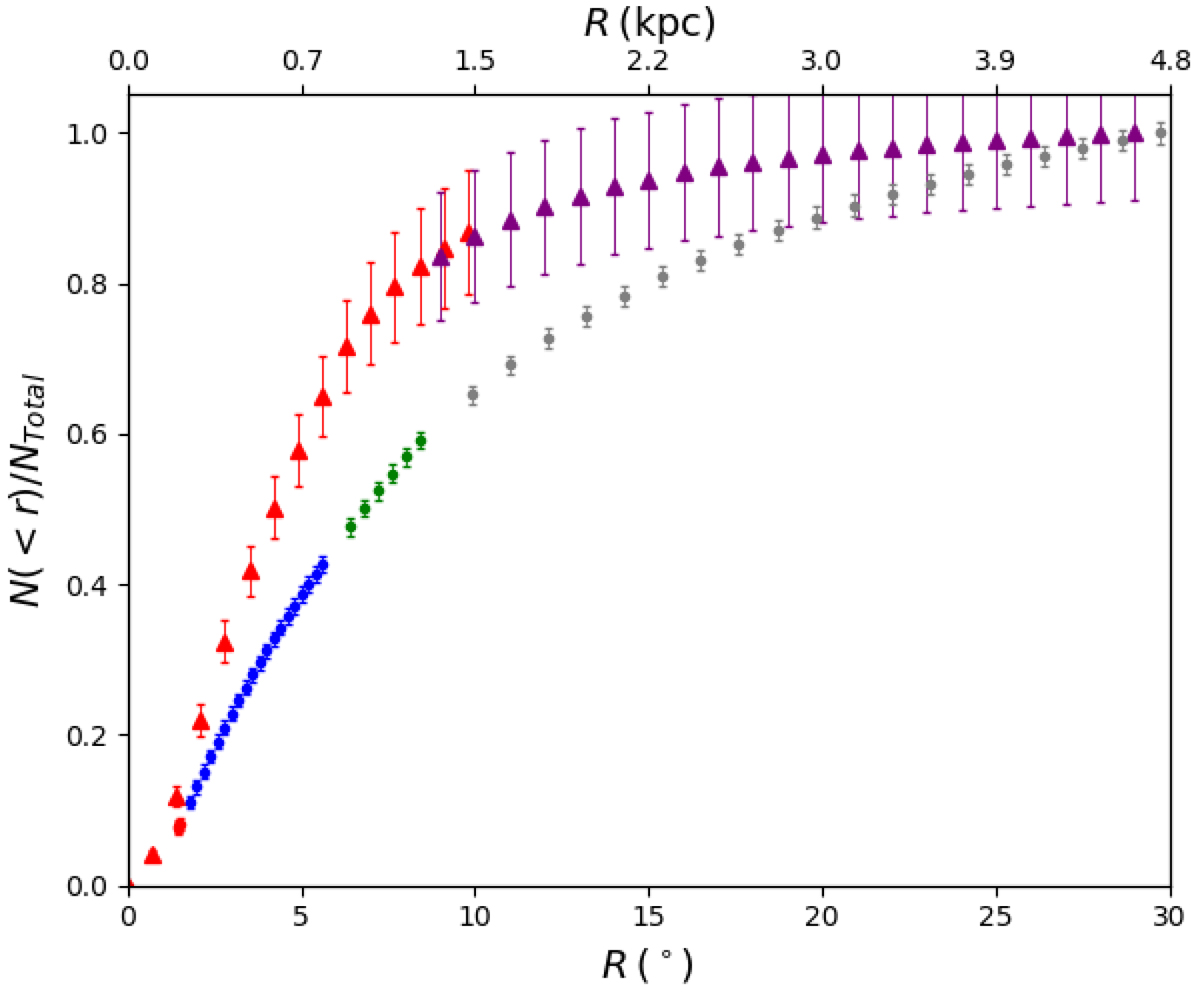
Fig. 6.

image

Cumulative distribution for the RC (triangles) and RRab (circles) populations. The red and purple triangles correspond to the VVV and 2MASS surveys, respectively. The colours of the RRab distribution are the same as in Fig. 1. The half-population radius for the RC population is RH RC = 4.2° (RH RC = 0.61 kpc).

Current usage metrics show cumulative count of Article Views (full-text article views including HTML views, PDF and ePub downloads, according to the available data) and Abstracts Views on Vision4Press platform.

Data correspond to usage on the plateform after 2015. The current usage metrics is available 48-96 hours after online publication and is updated daily on week days.

Initial download of the metrics may take a while.