Open Access

Fig. 16

image

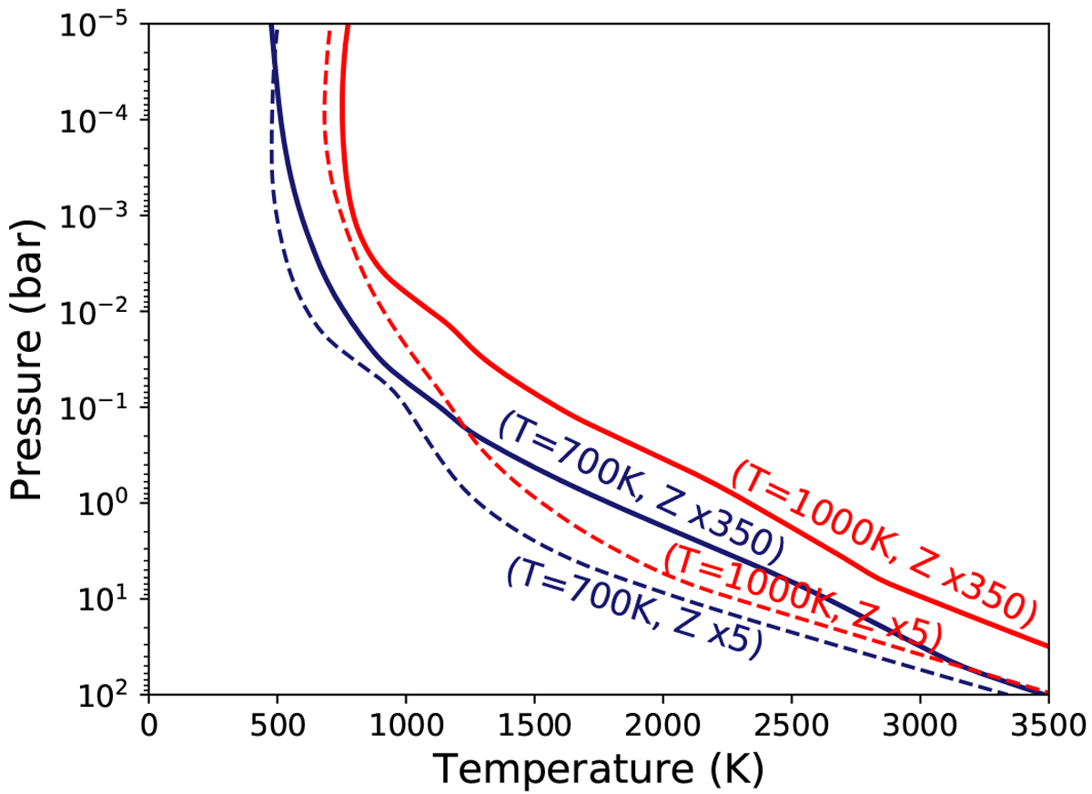
Pressure-temperature profiles computed with petitCODE for four different scenarios of WASP-117b: temperatures Teff = 1000 K (red), Teff = 700 K (blue), and metallicities Z = Z× 350 (solid), Z = Z× 5 (dashed). For all cases, a C/O of 0.3 and intrinsic temperature of 400 K were adopted. The profiles serve as input for the chemical kinetics calculations of Fig. 17.

Current usage metrics show cumulative count of Article Views (full-text article views including HTML views, PDF and ePub downloads, according to the available data) and Abstracts Views on Vision4Press platform.

Data correspond to usage on the plateform after 2015. The current usage metrics is available 48-96 hours after online publication and is updated daily on week days.

Initial download of the metrics may take a while.