Open Access

Fig. 2

image

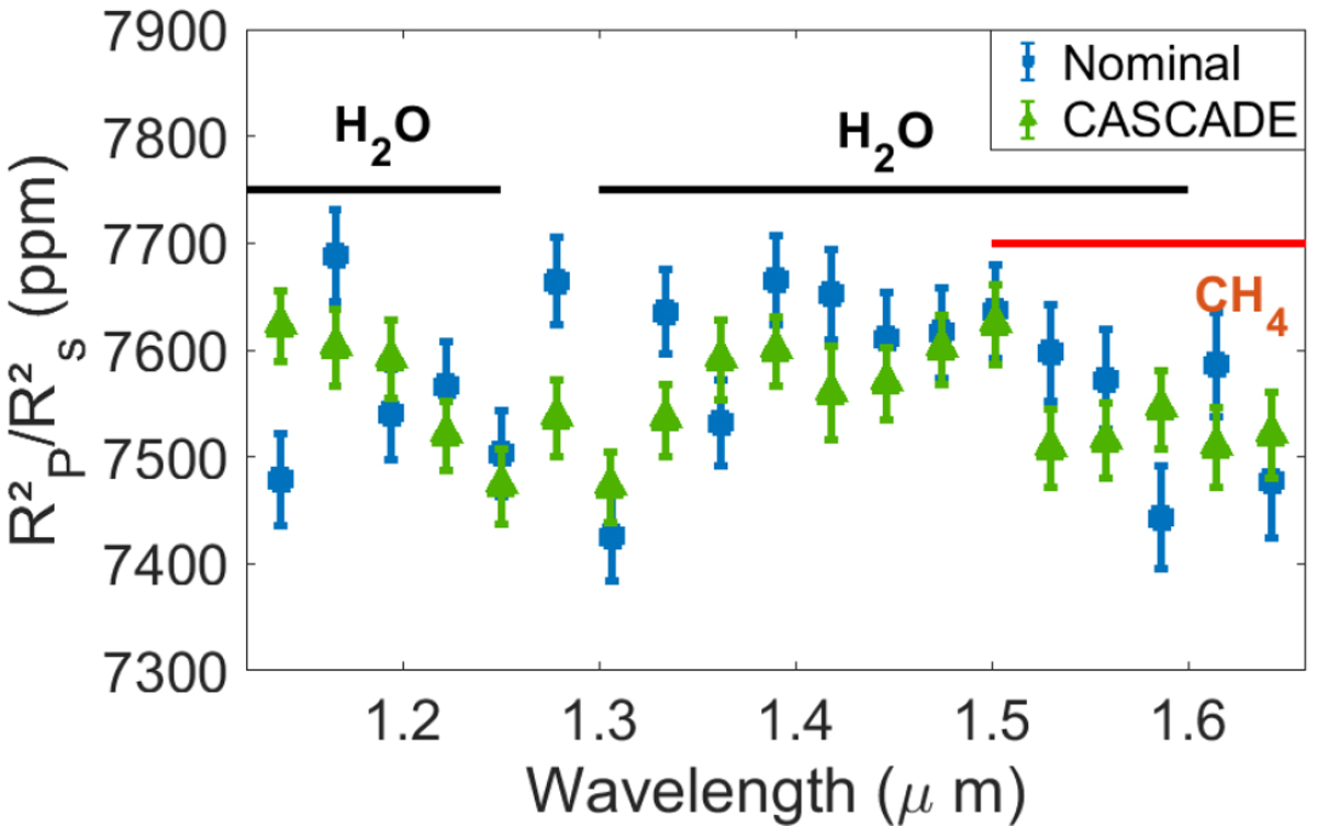
Final HST/WFC3 transmission spectra from the nominal (blue) and CASCADE (green) pipeline, covering a wavelength range of 1.125–1.65 μm. The average transit depths are 7573 ± 43 ppm and 7553 ± 39 ppm, respectively. Black and red lines indicate the positions of the H2O and CH4 absorption bands, respectively, in the observed spectral range.

Current usage metrics show cumulative count of Article Views (full-text article views including HTML views, PDF and ePub downloads, according to the available data) and Abstracts Views on Vision4Press platform.

Data correspond to usage on the plateform after 2015. The current usage metrics is available 48-96 hours after online publication and is updated daily on week days.

Initial download of the metrics may take a while.