Free Access

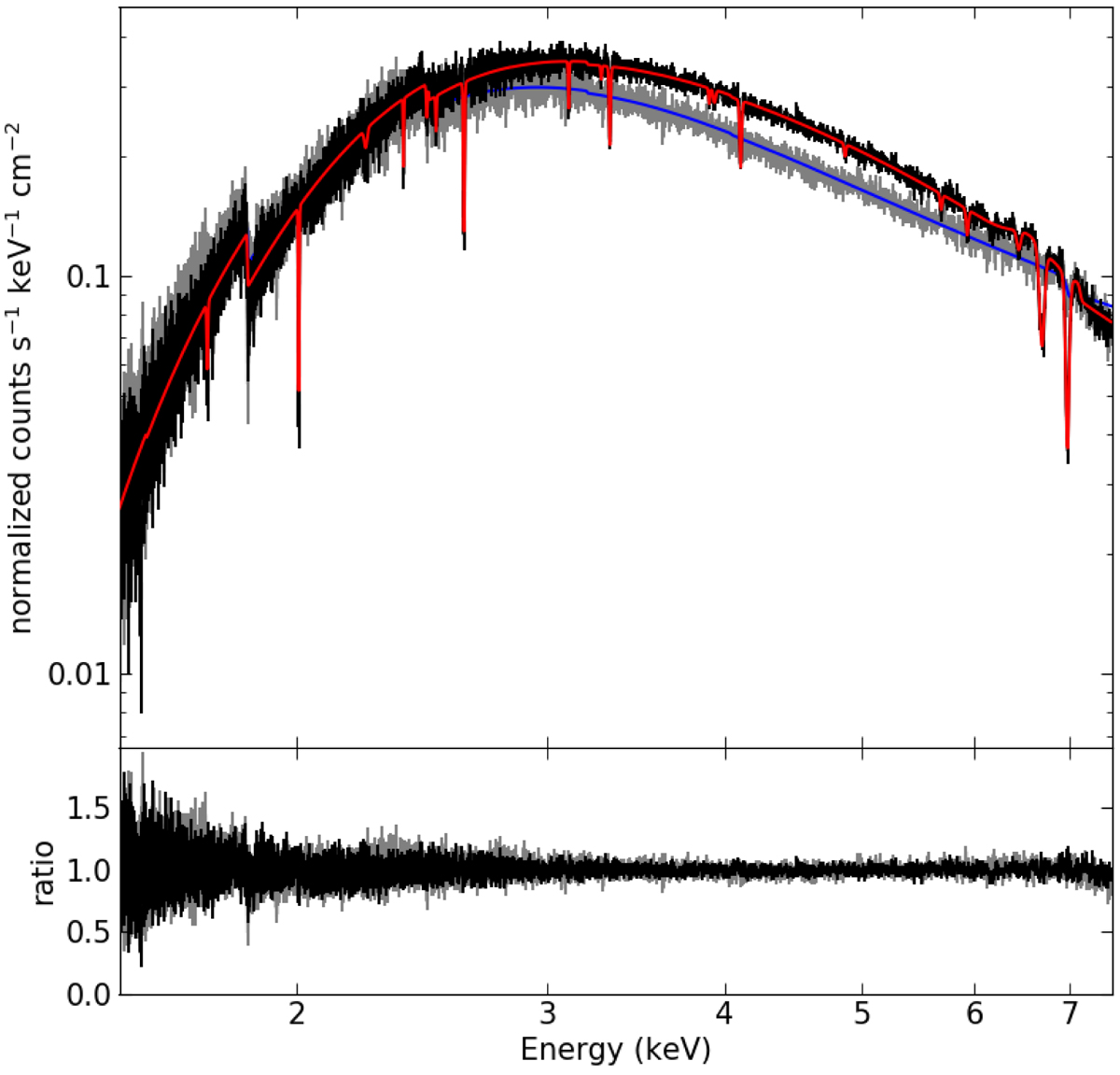
Fig. 3.

image

Spectrum of GRS 1915+105 after modelling the absorption and emission lines using the phenomenological Gaussian line profiles. Top panel: spectrum of GRS 1915+105 in the soft state (obsid: 7485) and hard state (obsid: 660). The data in soft and hard states are plotted in black and grey, while the respective models are shown in red and blue. Bottom panel: ratio of data and model.

Current usage metrics show cumulative count of Article Views (full-text article views including HTML views, PDF and ePub downloads, according to the available data) and Abstracts Views on Vision4Press platform.

Data correspond to usage on the plateform after 2015. The current usage metrics is available 48-96 hours after online publication and is updated daily on week days.

Initial download of the metrics may take a while.