Open Access

Fig. 10.

image

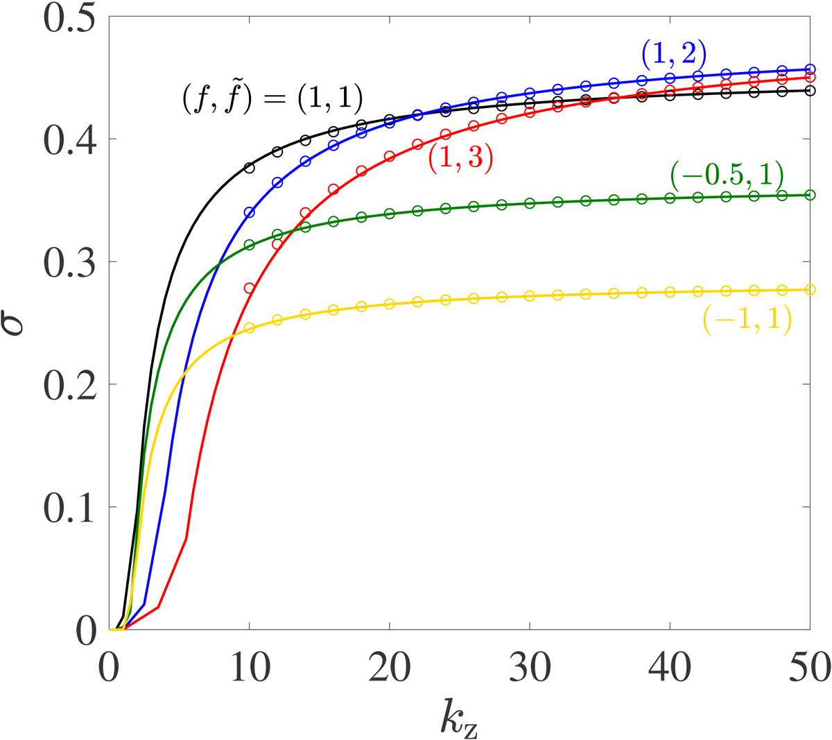
Numerical results (lines) of the growth rate σ as a function of kz for various parameter sets of : (1,1) (black, Ω = 0.707 and θ = 45°), (1,2) (blue, Ω = 1.118 and θ = 63.4°), (1,3) (red, Ω = 1.581 and θ = 71.6°), (−0.5, 1) (green, Ω = 0.559 and θ = 116.6°), (−1, 1) (yellow, Ω = 0.707 and θ = 135°), at Pe = 0.1, kx = 0, N = 1, and Re = ∞, and asymptotic results (circles) from Eq. (79) in the limit Pe → 0.

Current usage metrics show cumulative count of Article Views (full-text article views including HTML views, PDF and ePub downloads, according to the available data) and Abstracts Views on Vision4Press platform.

Data correspond to usage on the plateform after 2015. The current usage metrics is available 48-96 hours after online publication and is updated daily on week days.

Initial download of the metrics may take a while.