Open Access

Fig. 17.

image

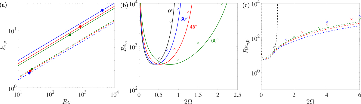
(a) Optimal wavenumbers kz, c from (87) (solid lines) and kz, c0 from (90) (dashed lines) as a function of Re at 2Ω = 1, N = 4, and kx = 0 for colatitudes θ: 30° (blue), 45° (red), and 60° (green). Filled circles denote the critical Reynolds numbers. (b,c) Critical Reynolds number Rec as a function of the absolute Coriolis parameter 2Ω for N = 4, and (b) Pr = 1, (c) Pr = 10−6 at different colatitudes θ: 0° (black), 30° (blue), 45° (red), and 60° (green) from numerical results (crosses) and asymptotic results of Rec (solid lines in b) from (88) and Rec, 0 (dashed lines in c) from (91).

Current usage metrics show cumulative count of Article Views (full-text article views including HTML views, PDF and ePub downloads, according to the available data) and Abstracts Views on Vision4Press platform.

Data correspond to usage on the plateform after 2015. The current usage metrics is available 48-96 hours after online publication and is updated daily on week days.

Initial download of the metrics may take a while.