Free Access

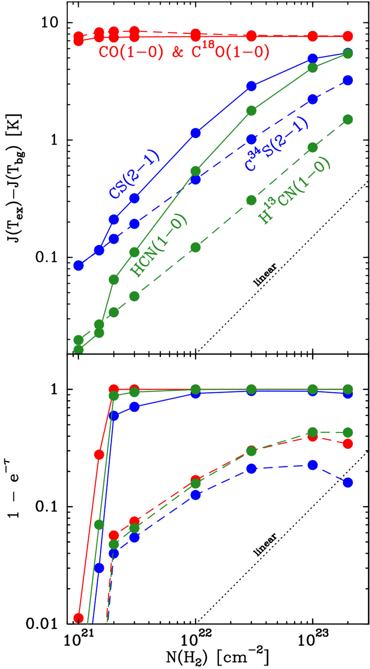
Fig. 13

image

Model results for the two factors of the radiative transfer solution: excitation term (top) and optical depth term (bottom). The solid lines represent the results for the main isotopologs of CO (red), HCN (green), and CS (blue). The dashed lines represent equivalent results for the rare species (C18 O, H13 CN, and C34 S).

Current usage metrics show cumulative count of Article Views (full-text article views including HTML views, PDF and ePub downloads, according to the available data) and Abstracts Views on Vision4Press platform.

Data correspond to usage on the plateform after 2015. The current usage metrics is available 48-96 hours after online publication and is updated daily on week days.

Initial download of the metrics may take a while.