Free Access

Fig. C.2

image

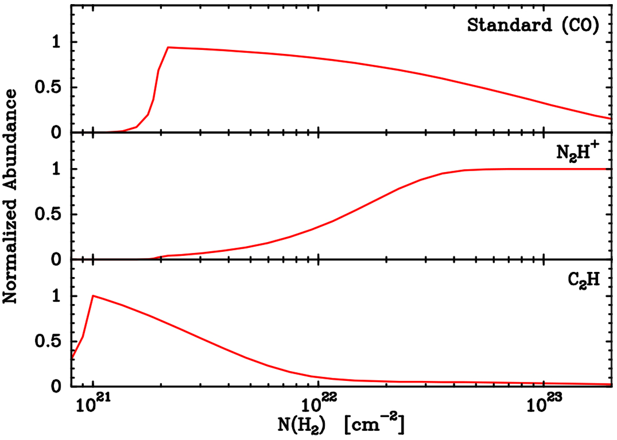
Three types of abundance profiles generated by a simple model and used to fit the emission from different species in Perseus. Top panel: standard abundance profile consisting of an outer photodissociation edge and an inner freeze-out drop. It was used to fit most molecular data and is illustrated here with CO. Middle panel: profile with an inner enhancement required to fit the N2 H+ data. Bottom panel: profile with an outer abundance enhancement required to fit the C2 H and CN data (illustrated here with C2H).

Current usage metrics show cumulative count of Article Views (full-text article views including HTML views, PDF and ePub downloads, according to the available data) and Abstracts Views on Vision4Press platform.

Data correspond to usage on the plateform after 2015. The current usage metrics is available 48-96 hours after online publication and is updated daily on week days.

Initial download of the metrics may take a while.