Free Access

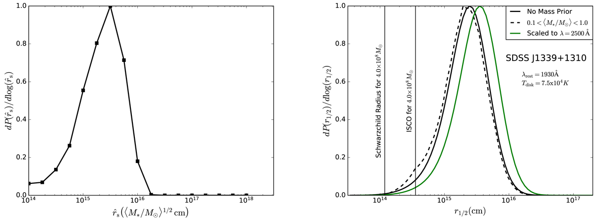
Fig. 8.

image

Accretion disc structure in SDSS J1339+1310. Left panel: probability density for the source size in Einstein units (⟨M*/M1/2 cm). The distribution levels off at ∼2 × 1014 cm since the pixel scale in our magnification patterns is 1.6 × 1014 cm. All solutions become equally likely below that size scale. Right panel: probability density for the half light radius of the continuum-emission region in SDSS J1339+1310 at λrest = 1930 Å assuming an inclination angle cos i = 0.5. The solid black curve was derived by convolving our probability density for ⟨M*⟩ (right panel of Fig. 7) with that of (see left panel). The dashed black curve assumed a uniform prior on the mean mass of a lens galaxy star 0.1 ≤ ⟨M*⟩ ≤ 1.0. The solid green curve shows the result without the mass prior scaled to 2500 Å for comparison to other models. The Schwarzschild radius rSch = 2GMBH/c2 and ISCO at 3rSch are plotted for reference.

Current usage metrics show cumulative count of Article Views (full-text article views including HTML views, PDF and ePub downloads, according to the available data) and Abstracts Views on Vision4Press platform.

Data correspond to usage on the plateform after 2015. The current usage metrics is available 48-96 hours after online publication and is updated daily on week days.

Initial download of the metrics may take a while.