Free Access

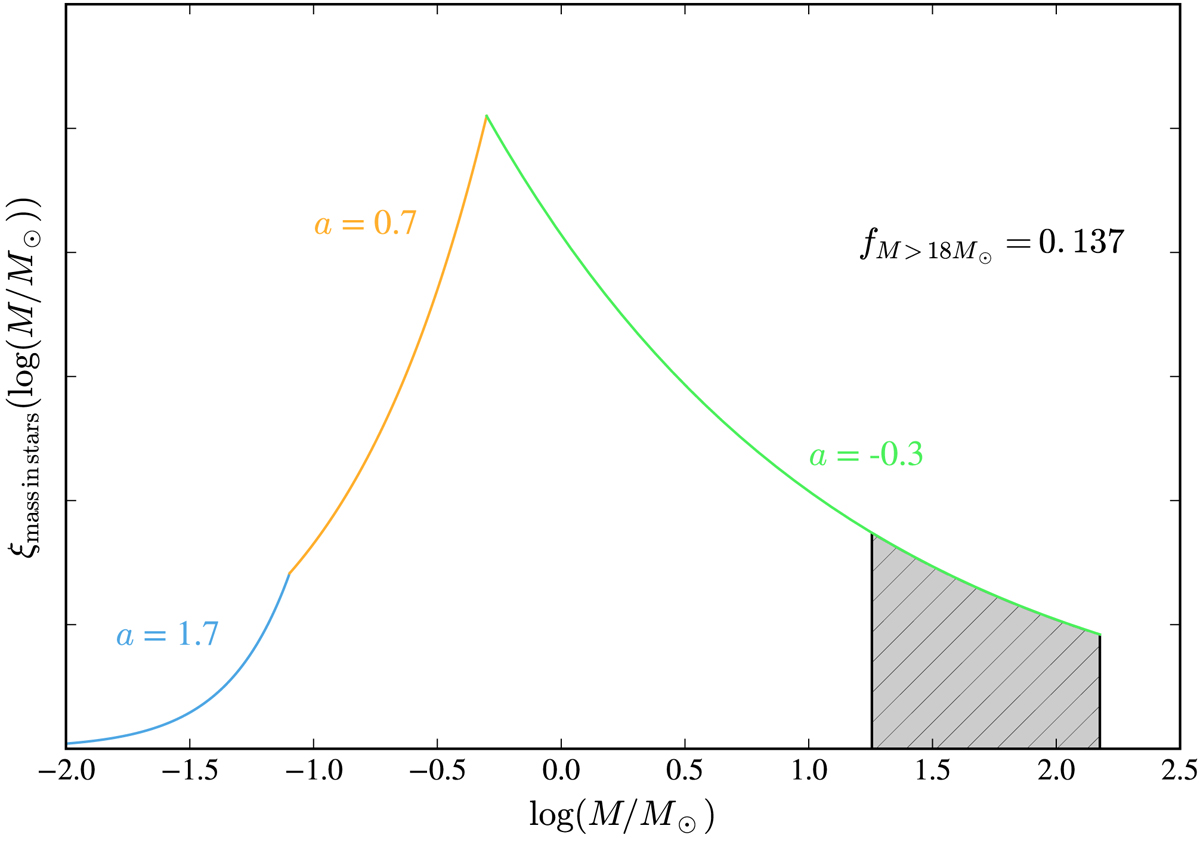
Fig. C.1.

image

Distribution of stellar mass as a function of birth mass, upon star formation. Above the curve, we show the numbers that indicate the slope of the mass distribution. The hatched region is the region where stars have a mass between 18 M and the assumed upper mass limit of 150 M.

Current usage metrics show cumulative count of Article Views (full-text article views including HTML views, PDF and ePub downloads, according to the available data) and Abstracts Views on Vision4Press platform.

Data correspond to usage on the plateform after 2015. The current usage metrics is available 48-96 hours after online publication and is updated daily on week days.

Initial download of the metrics may take a while.