Free Access

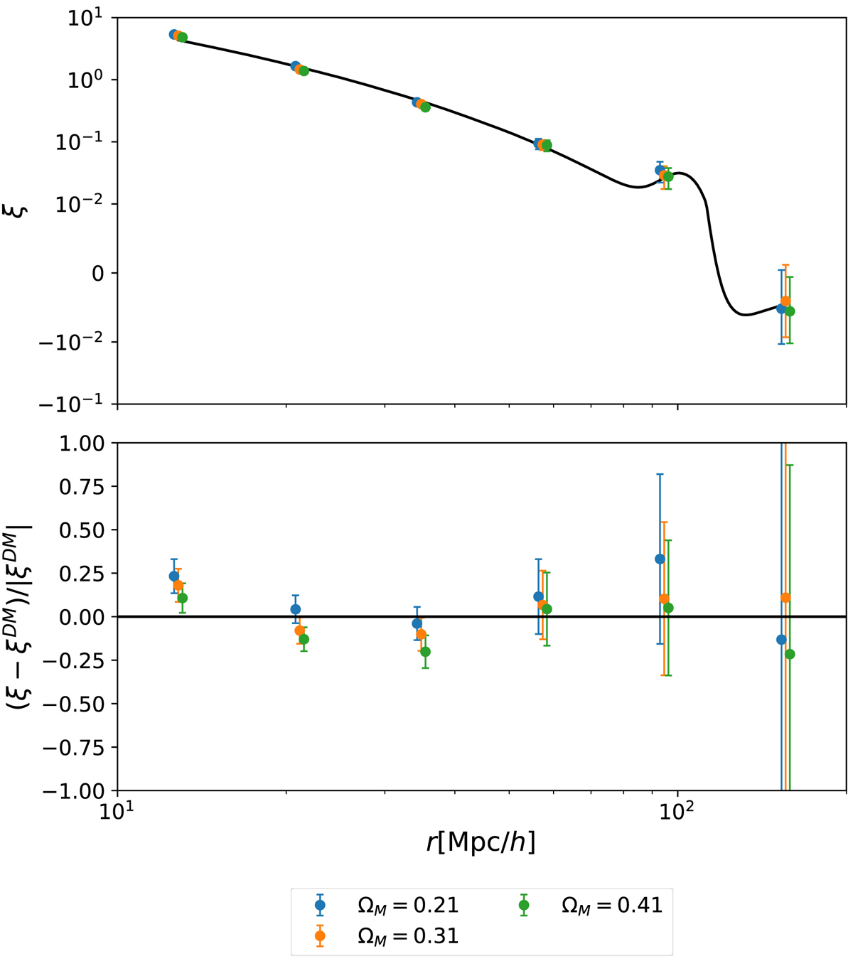
Fig. 8.

image

Effect of changing Ωm0 on the two-point correlation function estimate. Top panel: bias-scaled dark matter prediction for HMDPL cosmology Ωm0 = 0.307115 (solid curve) and two-point correlation function estimates obtained using this same value and values ±0.1. Bottom panel: relative difference between the estimates and the dark matter prediction. The data points have been shifted horizontally for clarity.

Current usage metrics show cumulative count of Article Views (full-text article views including HTML views, PDF and ePub downloads, according to the available data) and Abstracts Views on Vision4Press platform.

Data correspond to usage on the plateform after 2015. The current usage metrics is available 48-96 hours after online publication and is updated daily on week days.

Initial download of the metrics may take a while.