Free Access

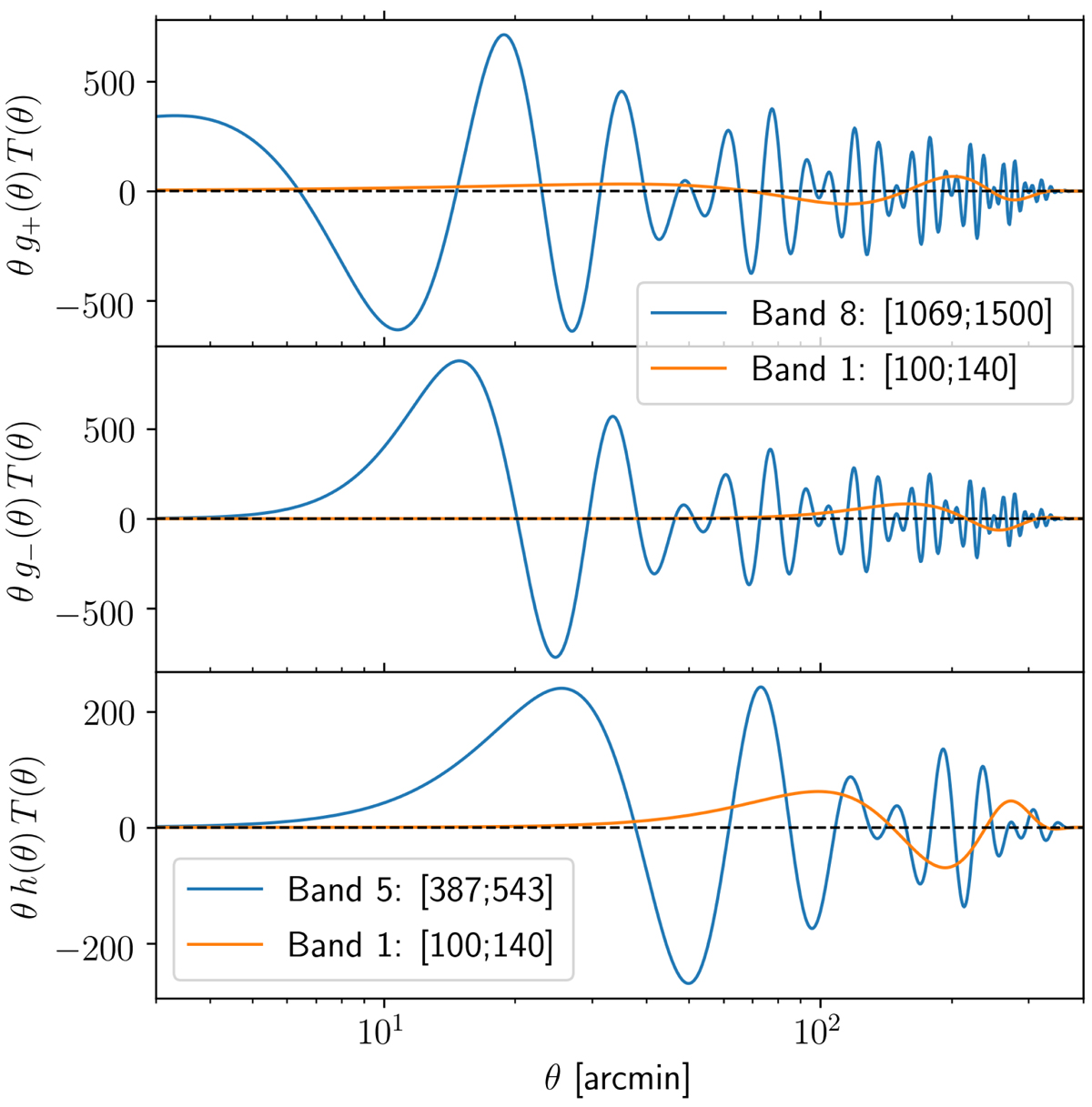
Fig. 3.

image

Bandpower real-space filters for different bands with the angular frequency range given in square brackets. For each case we show the lowest and highest band used in the fiducial analysis setup. The default correlation function binning has been assumed, with apodisation centred on the angular range boundaries of 0.5 arcmin and 300 arcmin, using a log-width of Δx = 0.5. Top: filter for ξ+; centre: filter for ξ; bottom: filter for γt; cf. Eqs. (22), (23), and (34).

Current usage metrics show cumulative count of Article Views (full-text article views including HTML views, PDF and ePub downloads, according to the available data) and Abstracts Views on Vision4Press platform.

Data correspond to usage on the plateform after 2015. The current usage metrics is available 48-96 hours after online publication and is updated daily on week days.

Initial download of the metrics may take a while.