Free Access

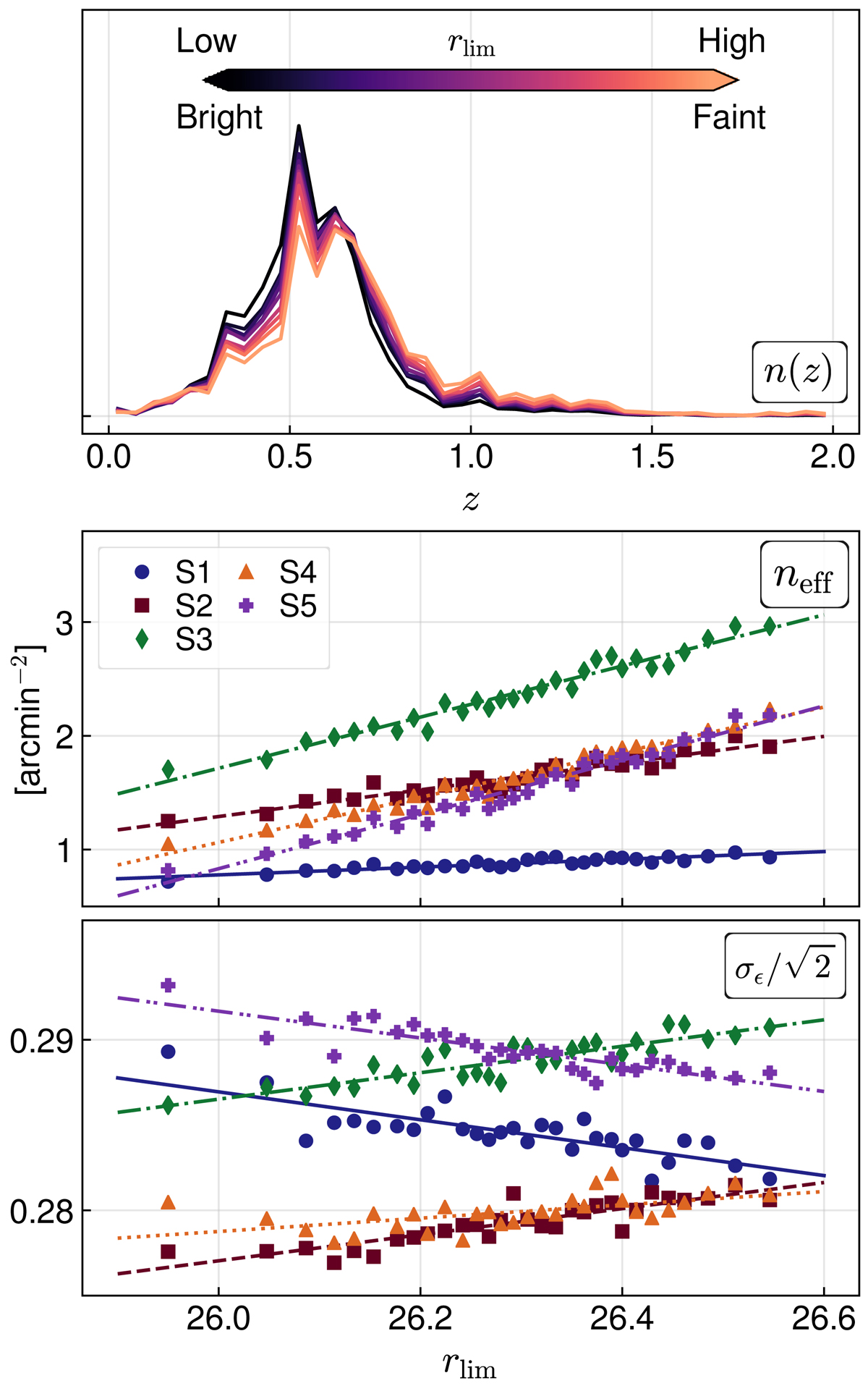
Fig. 8.

image

Characteristic of variable depth effects measured from early KiDS-1000 data. Top panel: redshift distributions of source galaxies in the third tomographic bin (S3) in 10 equi-populated bins of rlim (1σ adaptive aperture size). Centre panel: effective galaxy number density as a function of rlim in the five source galaxy bins, together with linear fits. Lower panel: same as centre panel but for the observed ellipticity dispersion σϵ.

Current usage metrics show cumulative count of Article Views (full-text article views including HTML views, PDF and ePub downloads, according to the available data) and Abstracts Views on Vision4Press platform.

Data correspond to usage on the plateform after 2015. The current usage metrics is available 48-96 hours after online publication and is updated daily on week days.

Initial download of the metrics may take a while.