Free Access

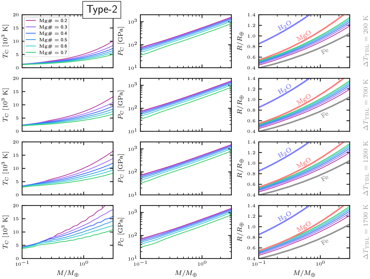
Fig. 5

image

Central temperature (left column), central pressure (middle column), and M-R relation (right column) for the Type-2 planets. The different rows correspond to different assumed values for ΔTTBL (see annotations at the right). While the core temperature increases significantly for higher ΔTTBL the central pressure and radius remain vastly unaffected. The central temperatures are strongly enhanced with respect to the Type-1 planets as the adiabatic gradient tends to get steepened by hydration. The mass-radius relations for pure H2O, MgO and Fe are shown for reference.

Current usage metrics show cumulative count of Article Views (full-text article views including HTML views, PDF and ePub downloads, according to the available data) and Abstracts Views on Vision4Press platform.

Data correspond to usage on the plateform after 2015. The current usage metrics is available 48-96 hours after online publication and is updated daily on week days.

Initial download of the metrics may take a while.