Free Access

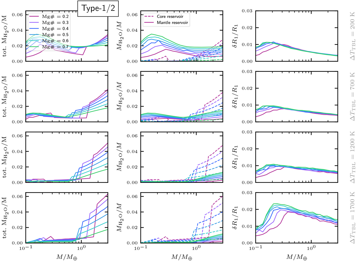
Fig. 7

image

Comparison between the Type-1 and Type-2 planets. Left column: total H2O equivalent in the interior assuming saturated Mg-silicates in the mantle and hydrogen content in the core computed from Sieverts law. Middle column: partitioning into separate contributions from the mantle- and core reservoirs. Right column: relative effect δR1R1 ≡ (R2R1)∕R1 of hydrationon total planetary radius at given mass, composition and surface temperature (see also Fig. 1).

Current usage metrics show cumulative count of Article Views (full-text article views including HTML views, PDF and ePub downloads, according to the available data) and Abstracts Views on Vision4Press platform.

Data correspond to usage on the plateform after 2015. The current usage metrics is available 48-96 hours after online publication and is updated daily on week days.

Initial download of the metrics may take a while.