Free Access

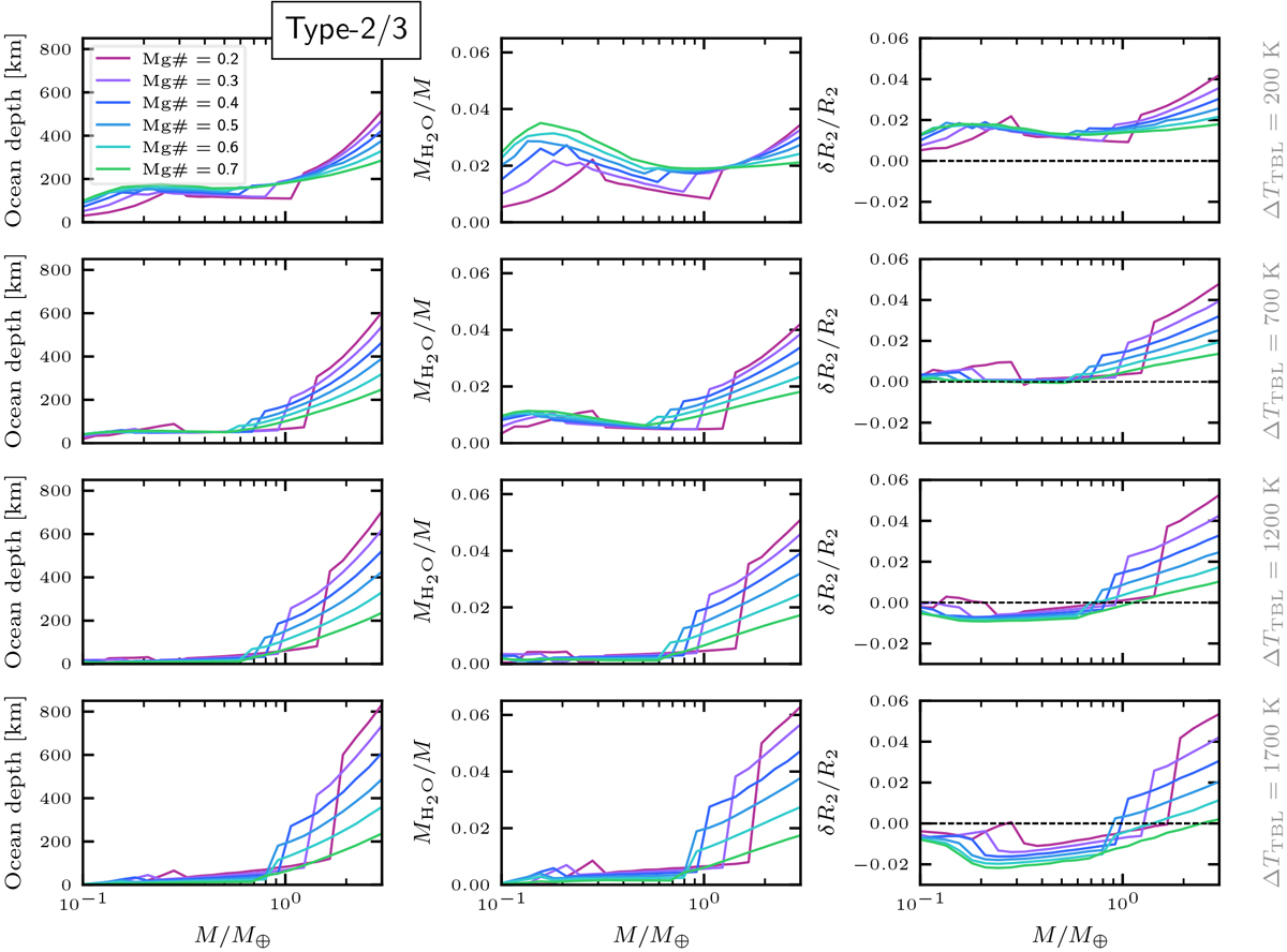
Fig. 8

image

Comparison between the Type-2 and Type-3 planets. Left column: depth of the surface oceans. Middle column: ocean mass fraction in the Type-3 planets. Of course, in the Type-3 planets corresponds to the values of the Type-2 planets. Right column: relative effect δR2 ≡ (R3R2)∕R2 of ocean differentiation on total planetary radius at given mass, composition and surface temperature (see also Fig. 1). For high values of ΔTTBL and low masses, separation into an isolated surface ocean can lead to a net increase in the planetary density in comparison to the Type-2 planets. This is a result from the combined effects of ocean differentiation on the EoS parameters.

Current usage metrics show cumulative count of Article Views (full-text article views including HTML views, PDF and ePub downloads, according to the available data) and Abstracts Views on Vision4Press platform.

Data correspond to usage on the plateform after 2015. The current usage metrics is available 48-96 hours after online publication and is updated daily on week days.

Initial download of the metrics may take a while.