Free Access

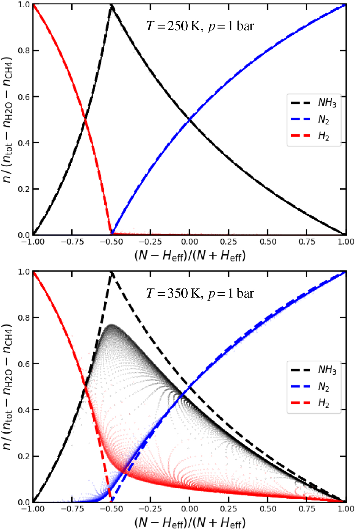
Fig. A.1

image

Concentrations of NH3, N2, and H2 in chemical equilibrium in type A atmospheres. Heff = H − 2 O − 4 C is the H element abundance remaining after subtraction of H2O and CH4. The dashedlines are the low-temperature expectations according to Eqs. (A.2) and (A.3). The dots are taken from a wide range of models, systematically varying the H, C, O, and N element abundances at p = 1 bar for T = 250 K (top plot) and for T = 350 K (bottom plot).

Current usage metrics show cumulative count of Article Views (full-text article views including HTML views, PDF and ePub downloads, according to the available data) and Abstracts Views on Vision4Press platform.

Data correspond to usage on the plateform after 2015. The current usage metrics is available 48-96 hours after online publication and is updated daily on week days.

Initial download of the metrics may take a while.