Free Access

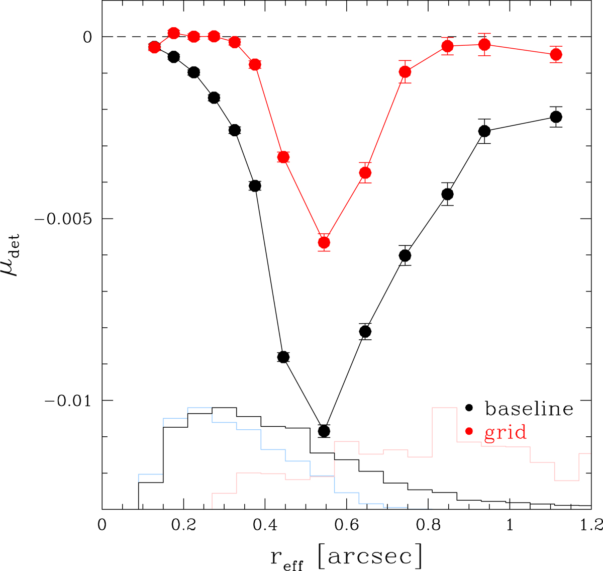
Fig. 5.

image

Multiplicative detection bias μdet as a function of the input half-light radius, reff, for galaxies with 20 < mAUTO < 24.5. The black and red lines correspond to the baseline and grid-based cases, respectively. The histograms show the distributions of galaxy sizes (black: all galaxies; red: mAUTO < 21; blue: 24 < mAUTO < 24.5) The observed behaviour is the result of the change in size as a function of brightness.

Current usage metrics show cumulative count of Article Views (full-text article views including HTML views, PDF and ePub downloads, according to the available data) and Abstracts Views on Vision4Press platform.

Data correspond to usage on the plateform after 2015. The current usage metrics is available 48-96 hours after online publication and is updated daily on week days.

Initial download of the metrics may take a while.