Free Access

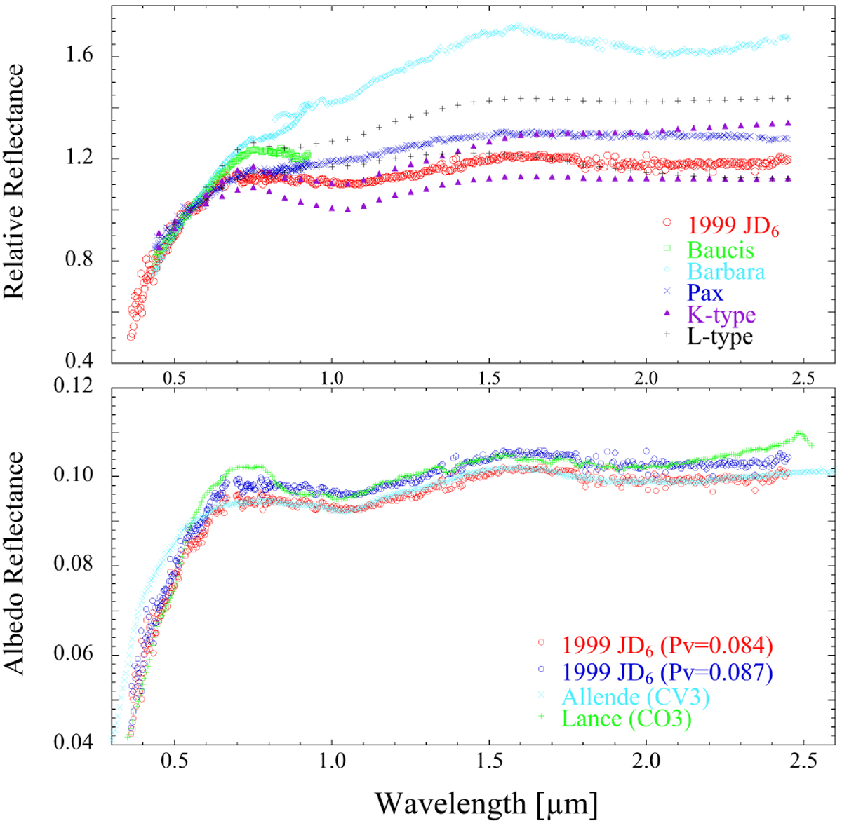
Fig. 5

image

Spectroscopic similarities of 1999 JD6 and others. Top panel: spectra of 1999 JD6 (red circles) and the Barbarians (172) Baucis (green squares), (234) Baraba (cyan diamonds), (679) Pax (blue crosses), and the range of K type (purple triangles) and L type (black pluses) according to the Bus-DeMeo classification (Demeo et al. 2009; Binzel et al. 2019). The spectra refer to textual data obtained from MITHNEOS1. Bottom panel: compares the spectra of the CV3-type Allende (cyan crosses) and CO3-type Lance (green pluses) meteorites with those of 1999 JD6 (red and blue circles). The 1999 JD6 spectra are multiplied by the albedo within the literature values that best match the respective meteorite data. At the side where the wavelength is longer than 0.6 μm, it matches Allende well, while at the blue side, Lance is matched well. The scaled spectra of the meteorites were obtained from the RELAB2 database.

Current usage metrics show cumulative count of Article Views (full-text article views including HTML views, PDF and ePub downloads, according to the available data) and Abstracts Views on Vision4Press platform.

Data correspond to usage on the plateform after 2015. The current usage metrics is available 48-96 hours after online publication and is updated daily on week days.

Initial download of the metrics may take a while.