Open Access

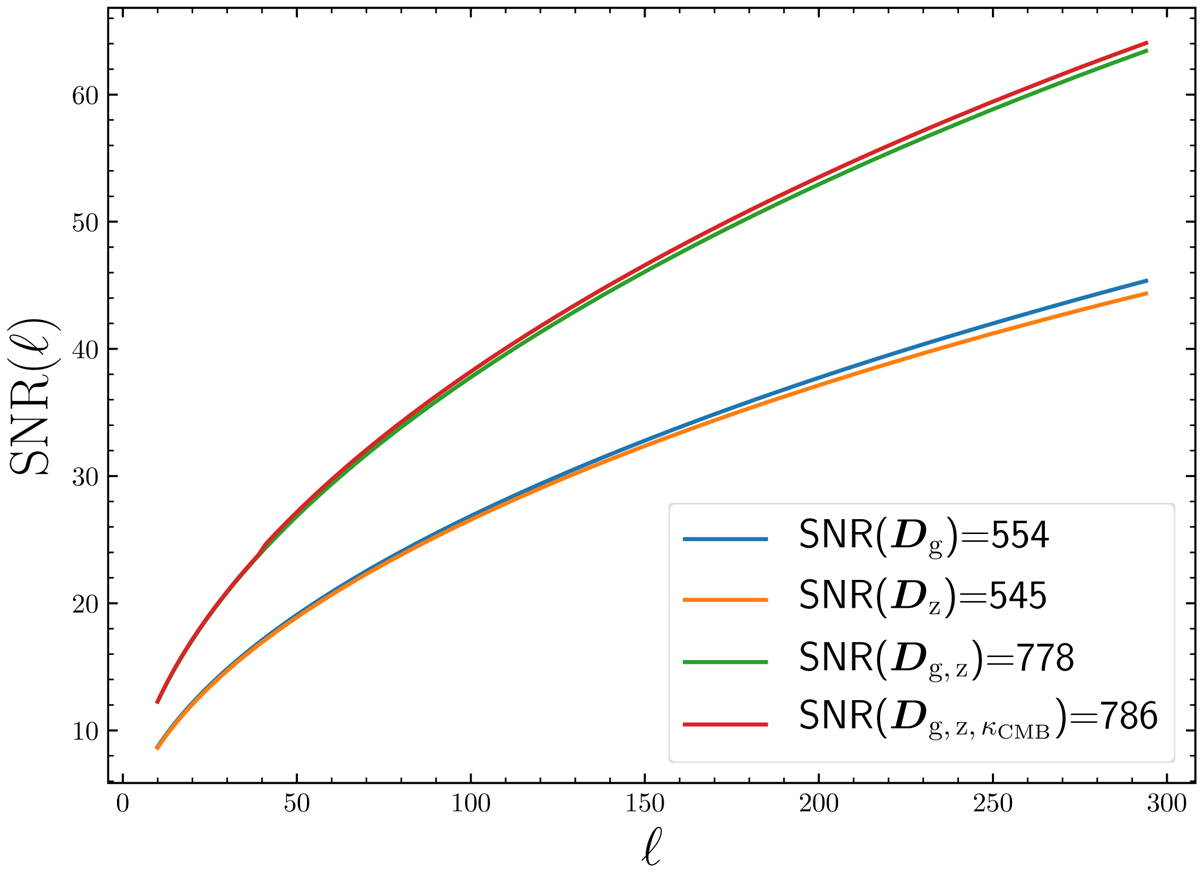
Fig. 4.

image

S/Ns of angular galaxy clustering (Dg) in blue, ARF (Dz) in orange and the combinations Dg,  z in green and Dg,  z,  κCMB in red. We used 20 tomographic Gaussian bins of σz = 0.01 in width in an Euclid-like survey, in combination with a CMB-S4 survey. The total S/Ns for the range of multipoles  = 10 to  = 300 are shown in the text box on the bottom right.

Current usage metrics show cumulative count of Article Views (full-text article views including HTML views, PDF and ePub downloads, according to the available data) and Abstracts Views on Vision4Press platform.

Data correspond to usage on the plateform after 2015. The current usage metrics is available 48-96 hours after online publication and is updated daily on week days.

Initial download of the metrics may take a while.