Free Access

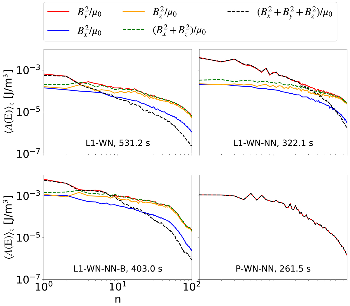
Fig. 14.

image

Power spectra of magnetic energy for each of the components of the magnetic field calculated at the final time for the simulations L1-WN (top left), L1-WN-NN (top right), and L1-WN-NN-B (bottom left), and P-WN-NN (bottom right). We note that the simulation P-WN-NN has no magnetic energy in the x and z directions. Solid lines are individual components of the magnetic energy, (blue), (red), (orange). Dashed lines are for the in-plane component, (green), and the total energy, (black).

Current usage metrics show cumulative count of Article Views (full-text article views including HTML views, PDF and ePub downloads, according to the available data) and Abstracts Views on Vision4Press platform.

Data correspond to usage on the plateform after 2015. The current usage metrics is available 48-96 hours after online publication and is updated daily on week days.

Initial download of the metrics may take a while.