Free Access

Fig. 6.

image

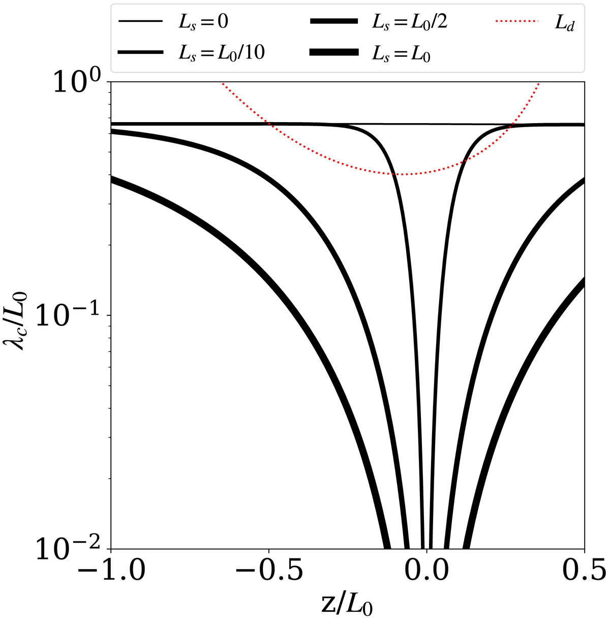
Cutoff wavelengths (black lines) due to the in-plane component of the magnetic field as a function of height, computed from Eq. (22) for the equilibrium profile with the values of nn00 = 1016 m−3 and B00 = 10−3 T in Eqs. (5) and (7). Cutoff wavelengths for the following four shear lengths: Ls = [0, L0/10, L0/2, L0] are shown with increasing width of the line for increasing Ls. The red dotted line corresponds to the density gradient scale length Ld.

Current usage metrics show cumulative count of Article Views (full-text article views including HTML views, PDF and ePub downloads, according to the available data) and Abstracts Views on Vision4Press platform.

Data correspond to usage on the plateform after 2015. The current usage metrics is available 48-96 hours after online publication and is updated daily on week days.

Initial download of the metrics may take a while.