Free Access

Fig. 9.

image

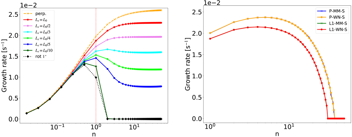
Growth rates as a function of the mode number, n, in logarithmic scale up to n = 50. The first value is n = 1/64 for the left panel and n = 1 for the right panel. Left: growth rate obtained semi-analytically for the perpendicular magnetic field (orange); sheared field with Ls equal to L0 (red), L0/2 (violet), L0/3 (cyan), L0/4 (lime), L0/5 (blue), L0/10 (dark green); and for uniformly rotated magnetic field by 1° (black). Right: growth rate obtained from the simulations P-MM-S (blue), P-WN-S (orange), L1-MM-S (green), L1-WN-S (red).

Current usage metrics show cumulative count of Article Views (full-text article views including HTML views, PDF and ePub downloads, according to the available data) and Abstracts Views on Vision4Press platform.

Data correspond to usage on the plateform after 2015. The current usage metrics is available 48-96 hours after online publication and is updated daily on week days.

Initial download of the metrics may take a while.