Open Access

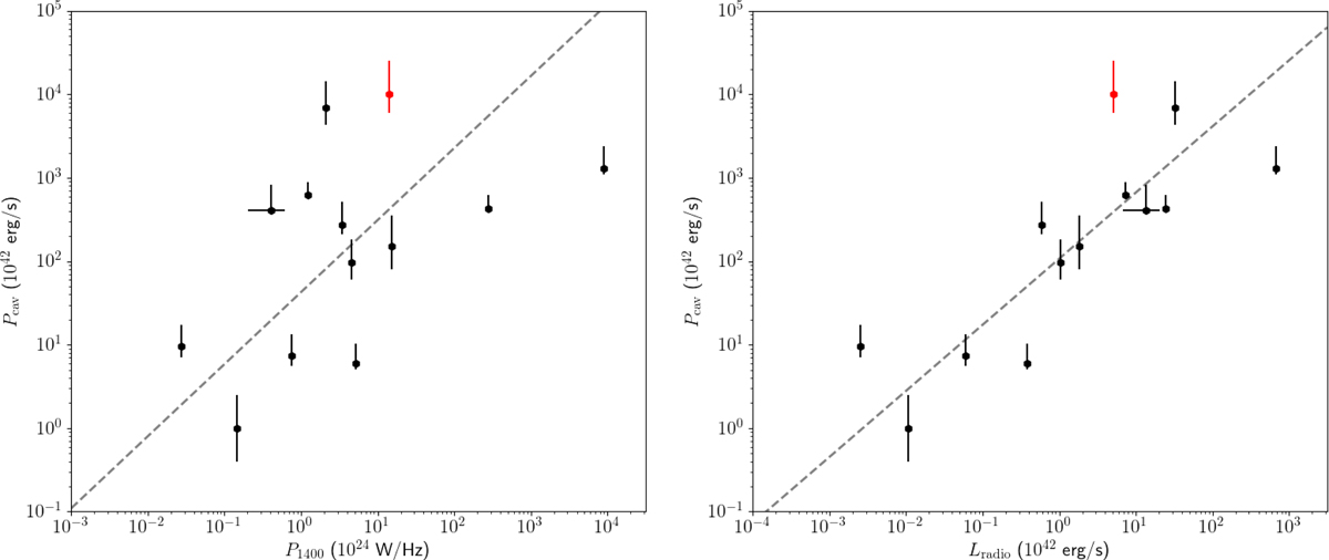
Fig. 13.

image

Left: radio luminosity of the lobes at 1.4 GHz vs. cavity power for Phoenix cluster (red) and the Bîrzan et al. (2008) sample of mini halos (black). The dashed line shows the best power-law fit through the data and is given by log Pcav[1042 erg s−1] = (0.86 ± 0.20)log P1400[1024 W Hz−1]+(1.63 ± 0.29). Right: bolometric radio luminosities of the lobes between 10 MHz and 10 GHz for the same sample. The dashed line shows the best power-law fit through the data and is given by log Pcav[1042 erg s−1] = (0.79 ± 0.15) log Lradio[1042 erg s−1]+(2.03 ± 0.19). Phoenix cluster data are from McDonald et al. (2019) and this work, and data for the other clusters are from Bîrzan et al. (2008).

Current usage metrics show cumulative count of Article Views (full-text article views including HTML views, PDF and ePub downloads, according to the available data) and Abstracts Views on Vision4Press platform.

Data correspond to usage on the plateform after 2015. The current usage metrics is available 48-96 hours after online publication and is updated daily on week days.

Initial download of the metrics may take a while.