Free Access

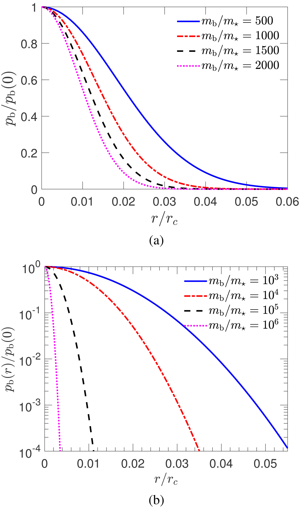
Fig. 1.

image

Stationary probability distribution pb of inhomogeneous diffusion (5) with respect to distance, r, for a single Brownian body, mb, inside a Plummer external gravitational potential. The Brownian body may be considered to be a massive BH and the gravitational potential may be generated by a globular cluster of individual average stellar mass, m. We denote rc the softening radius of the potential.

Current usage metrics show cumulative count of Article Views (full-text article views including HTML views, PDF and ePub downloads, according to the available data) and Abstracts Views on Vision4Press platform.

Data correspond to usage on the plateform after 2015. The current usage metrics is available 48-96 hours after online publication and is updated daily on week days.

Initial download of the metrics may take a while.