Free Access

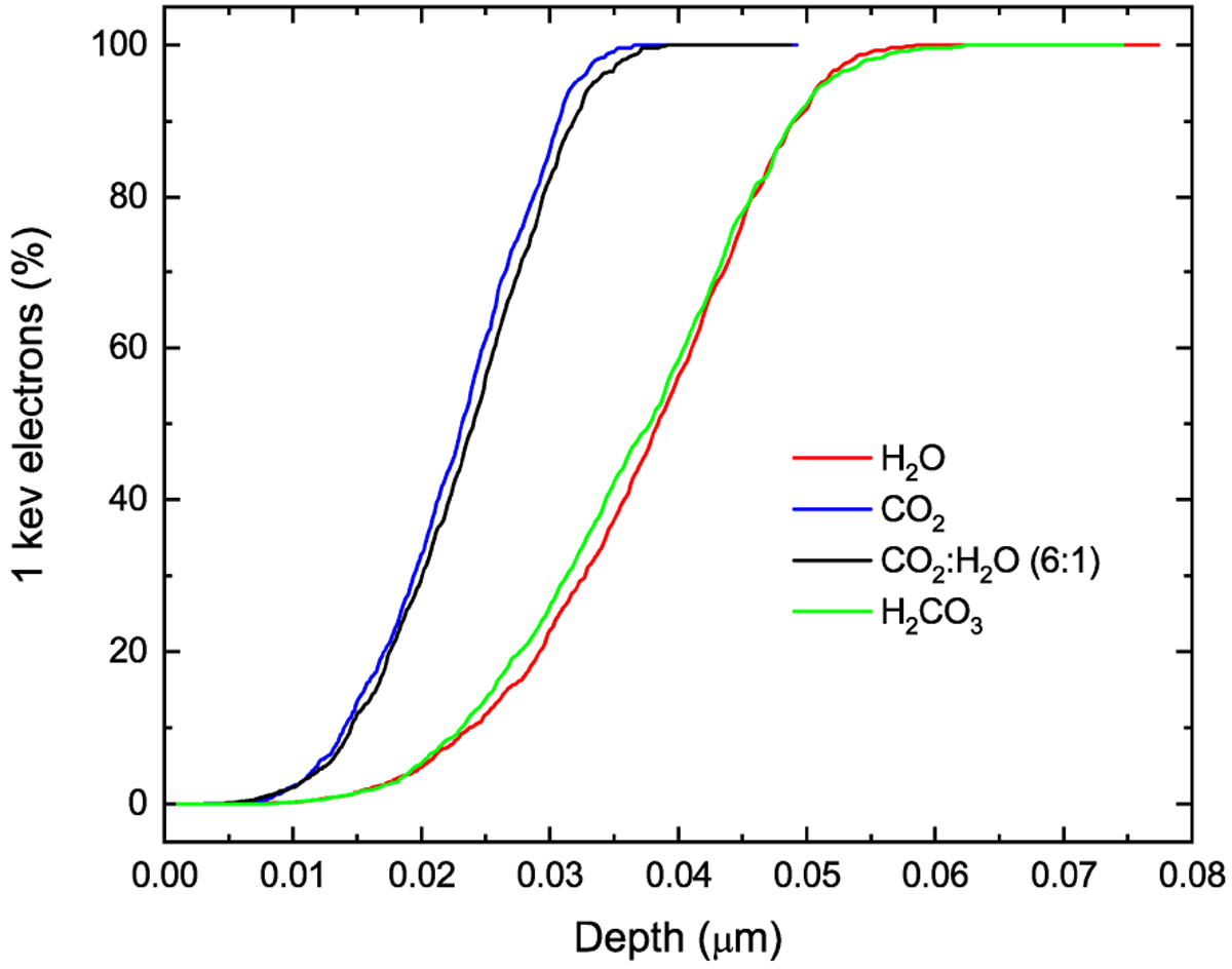
Fig. 1

image

Results from CASINO simulations of 1 keV electrons trajectories in pure CO2 and H2O ices, in a CO2:H2O (6:1) ice mixture and in H2CO3 ice. For each simulation 1000 trajectories were calculated. All electrons impinging normal to the pure CO2 and CO2:H2O (6:1) ice surfaces are stopped at 0.04 μm (solid blue and black lines, respectively), while all electrons are stopped in pure H2O and H2CO3 ices at 0.06 μm (solid red and green lines, respectively).

Current usage metrics show cumulative count of Article Views (full-text article views including HTML views, PDF and ePub downloads, according to the available data) and Abstracts Views on Vision4Press platform.

Data correspond to usage on the plateform after 2015. The current usage metrics is available 48-96 hours after online publication and is updated daily on week days.

Initial download of the metrics may take a while.