Open Access

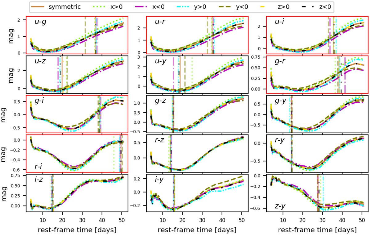
Fig. 9.

image

All rest-frame LSST color curves without microlensing for the merger model assuming spherical symmetry and six asymmetric versions of the merger model. The vertical lines indicate the duration of the achromatic phase and red frames mark color curves that are promising for time-delay measurements. The similarities between the symmetric case and the asymmetric cases show that viewing angle effects do not influence our conclusions.

Current usage metrics show cumulative count of Article Views (full-text article views including HTML views, PDF and ePub downloads, according to the available data) and Abstracts Views on Vision4Press platform.

Data correspond to usage on the plateform after 2015. The current usage metrics is available 48-96 hours after online publication and is updated daily on week days.

Initial download of the metrics may take a while.