Free Access

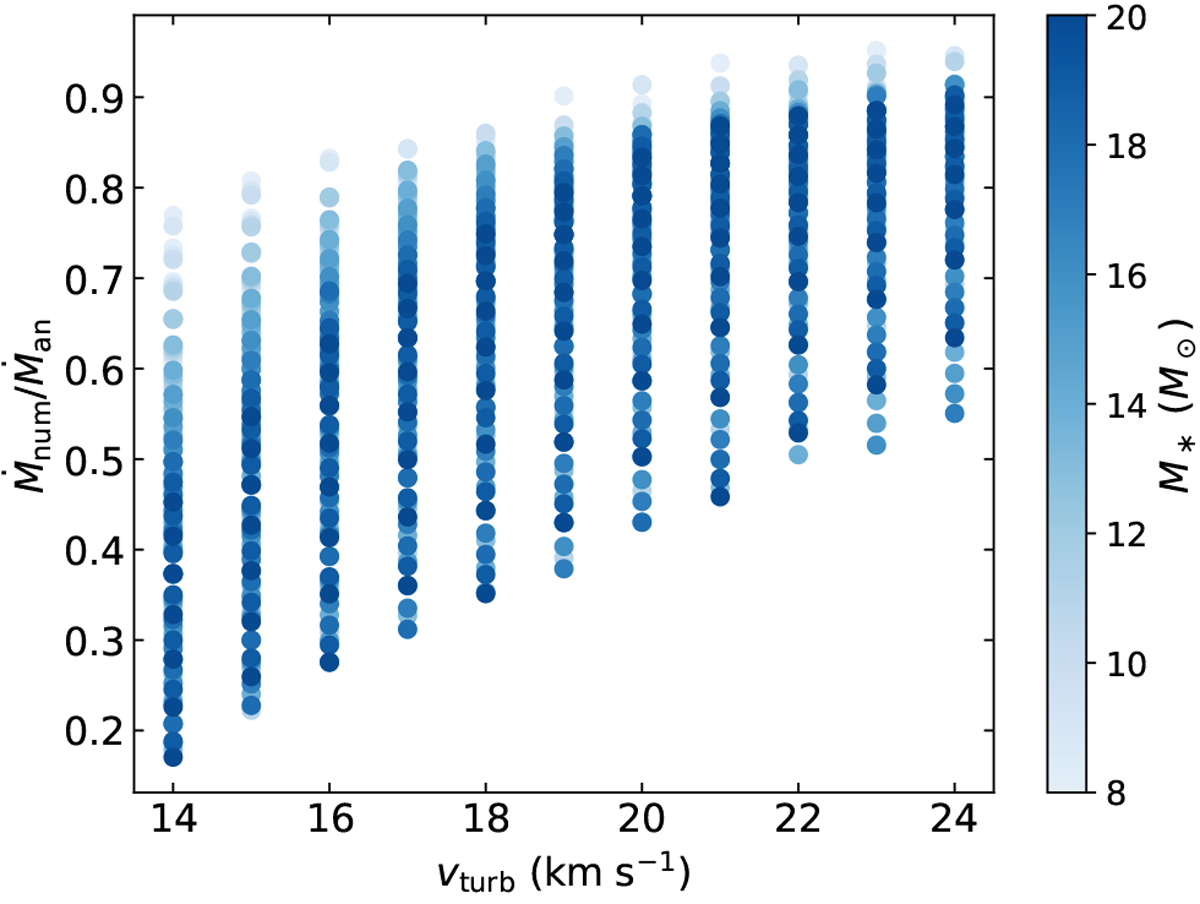
Fig. 6

image

Ratio of calculated numerically for a non-isothermal situation to the analytic calculated for an isothermal wind plotted as a function of vturb and colored by M*, varying R*, M*, and vturn. The effectivetemperature and Rosseland opacity are held fixed at Teff = 3500 K and κR = 0.01 cm2 g−1.

Current usage metrics show cumulative count of Article Views (full-text article views including HTML views, PDF and ePub downloads, according to the available data) and Abstracts Views on Vision4Press platform.

Data correspond to usage on the plateform after 2015. The current usage metrics is available 48-96 hours after online publication and is updated daily on week days.

Initial download of the metrics may take a while.