Free Access

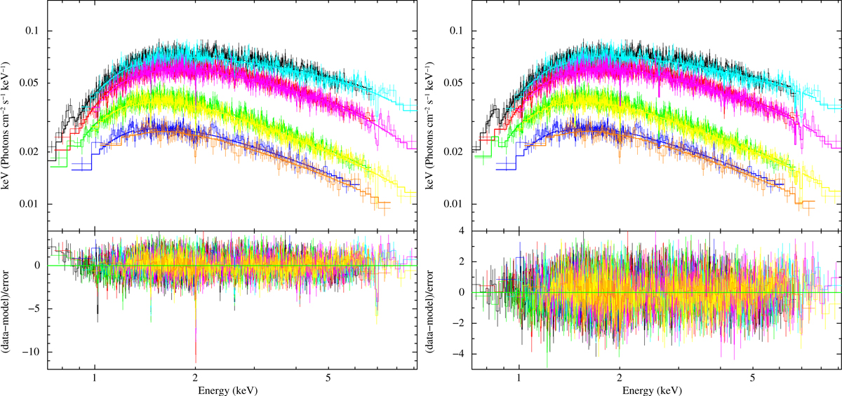
Fig. 4.

image

Unfolded spectrum and residuals adopting Model 1 (left panels) and Model 2 (right panels). The black, red, green, and blue data correspond to the first-order MEG of spectra A, B, C, and D, respectively. The cyan, purple, yellow, and orange data correspond to first-order HEG spectrum of spectra A, B, C, and D, respectively. The prominent absorption lines in residuals of Model 1 (bottom left panel) are associated with the presence of Ne X, Mg XII, Si XIV, S XVI, and Fe XXVI ions.

Current usage metrics show cumulative count of Article Views (full-text article views including HTML views, PDF and ePub downloads, according to the available data) and Abstracts Views on Vision4Press platform.

Data correspond to usage on the plateform after 2015. The current usage metrics is available 48-96 hours after online publication and is updated daily on week days.

Initial download of the metrics may take a while.