Free Access

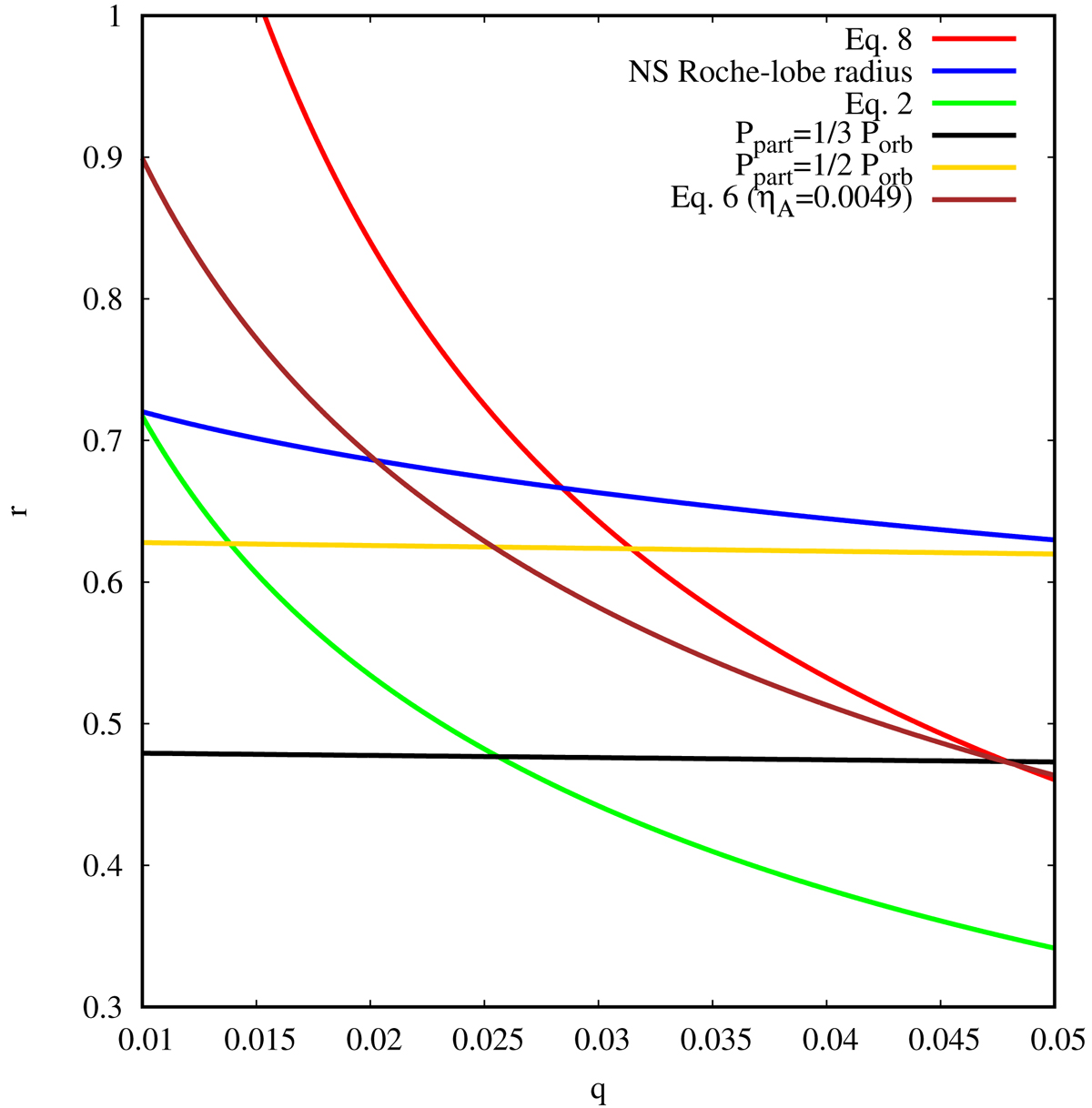
Fig. 6.

image

Characteristic radii of XB 1916-053 in units of orbital separation vs the mass ratio q. Show are the NS Roche-lobe radius (blue curve), the radius of the disk at which a 2:1 and 3:1 resonance could occur (yellow and black curves), the radius associated with the apsidal rate of the disk for a 3:1 resonance without and with the pressure term due to the presence of a spiral wave in the disk (green and brown curve), and the radius associated with the nodal precession period for a 3:1 resonance (red curve).

Current usage metrics show cumulative count of Article Views (full-text article views including HTML views, PDF and ePub downloads, according to the available data) and Abstracts Views on Vision4Press platform.

Data correspond to usage on the plateform after 2015. The current usage metrics is available 48-96 hours after online publication and is updated daily on week days.

Initial download of the metrics may take a while.