Free Access

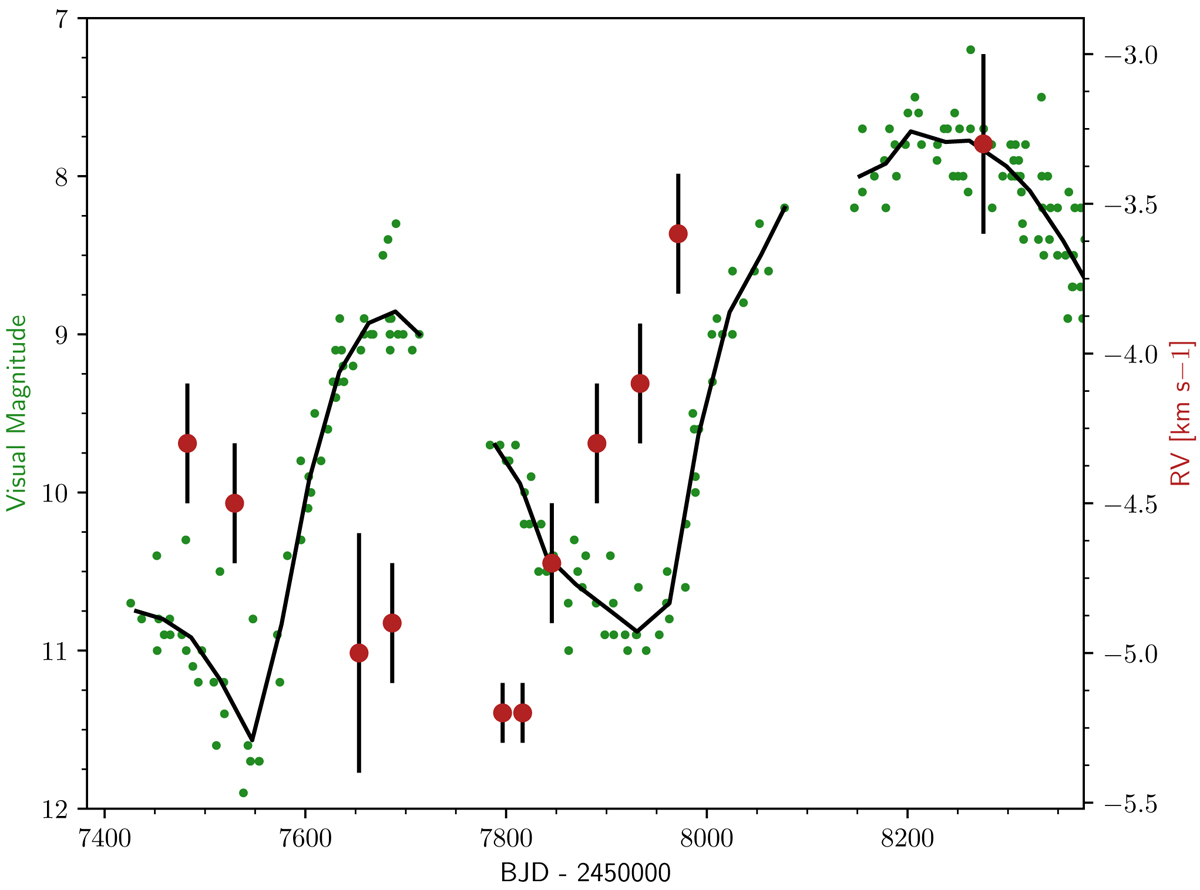
Fig. 1.

image

Light curve of VX Sgr between February 2016 and October 2018, with our spectroscopic data superimposed. Green dots indicate individual photometric points, measured in visual magnitudes (left-y axis). The black line represents the smoothed light curve (i.e. 30 d binning). Red circles indicate the radial velocity of the corresponding spectrum (right-y axis).

Current usage metrics show cumulative count of Article Views (full-text article views including HTML views, PDF and ePub downloads, according to the available data) and Abstracts Views on Vision4Press platform.

Data correspond to usage on the plateform after 2015. The current usage metrics is available 48-96 hours after online publication and is updated daily on week days.

Initial download of the metrics may take a while.