Open Access

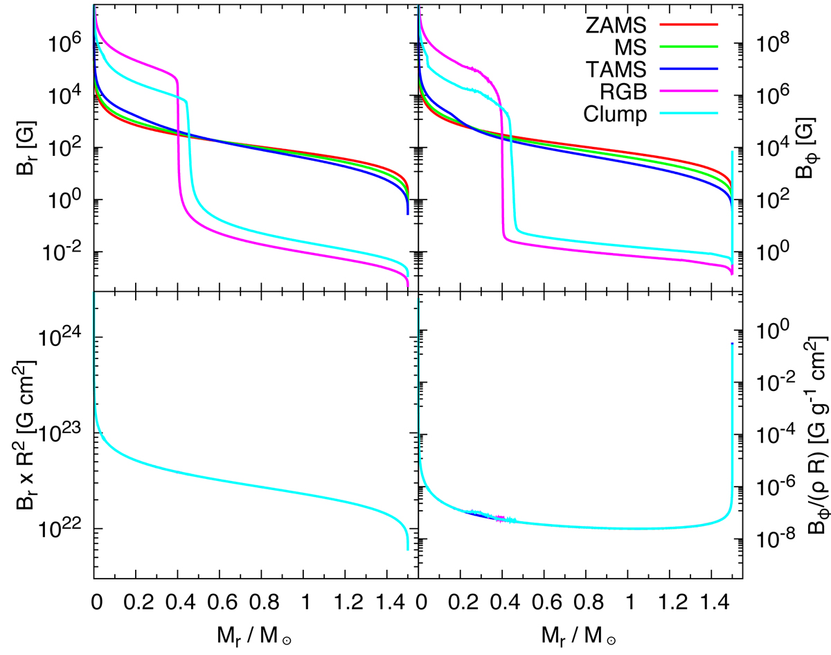
Fig. D.1.

image

Internal magnetic field distributions of 1.5 M magneto-rotational star with 5 evolutionary stages, at ZAMS (red), at the middle of the main-sequence phase (MS; green), at TAMS (blue), at the middle of the red-giant phase (RG; magenta), and at the red clump phase (Clump; cyan) are shown. In this test case, η- and Ω-effects are switched off to confirm magnetic flux conservation, and the Maxwell stress is also neglected. Top two panels: evolution of the radial component (Br; left) and the toroidal component (Bϕ; right). Bottom two panels: evolution of corresponding conserved quantities, Brr2 by the left, and Bϕ/ρr by the right.

Current usage metrics show cumulative count of Article Views (full-text article views including HTML views, PDF and ePub downloads, according to the available data) and Abstracts Views on Vision4Press platform.

Data correspond to usage on the plateform after 2015. The current usage metrics is available 48-96 hours after online publication and is updated daily on week days.

Initial download of the metrics may take a while.