Open Access

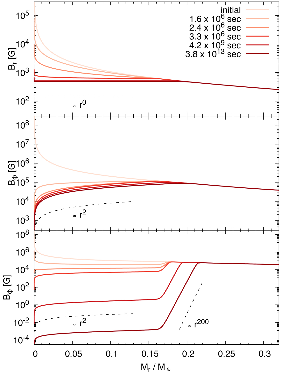
Fig. D.2.

image

Evolution of magnetic field distributions during the core hydrogen-burning phase for the inner 0.34 M region of a 1.5 M magneto-rotational star, for five different epochs, which are indicated by the legends. In this test case, magnetic dissipation by the η effect is included and accounts for the short timescale evolution. Top panel: radial component of the field, Br. Middle panel: the toroidal component, Bϕ, is shown for a case in which only the diffusion term of the magnetic dissipation is included. Meanwhile, Bϕ evolution for a case with both diffusion and advection terms of the magnetic dissipation is shown in the bottom panel.

Current usage metrics show cumulative count of Article Views (full-text article views including HTML views, PDF and ePub downloads, according to the available data) and Abstracts Views on Vision4Press platform.

Data correspond to usage on the plateform after 2015. The current usage metrics is available 48-96 hours after online publication and is updated daily on week days.

Initial download of the metrics may take a while.