Free Access

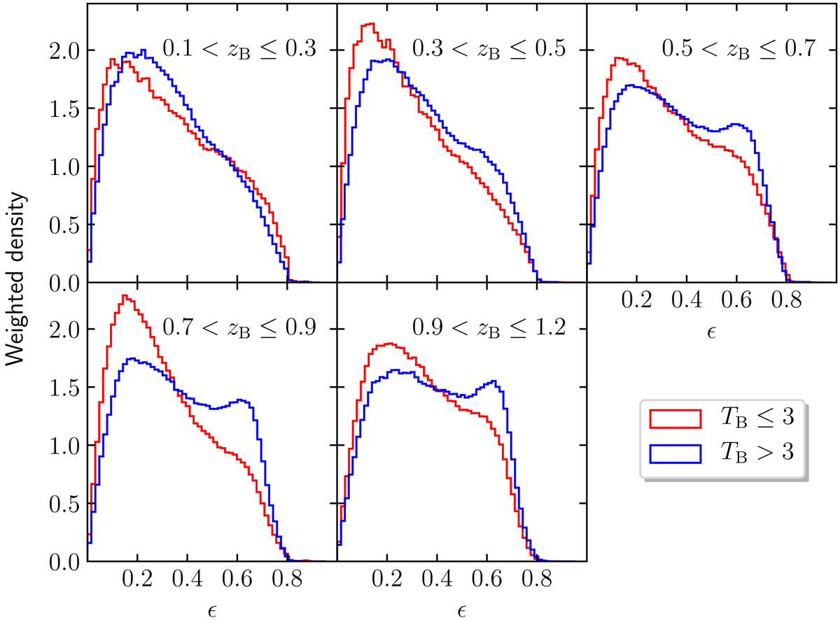
Fig. 3.

image

Normalised lensfit-weighted distributions of ellipticities of galaxies in the two sub-samples. The ellipticity is defined as . We note that the different distributions reflect different galaxy populations and indicate different shear biases in the two sub-samples.

Current usage metrics show cumulative count of Article Views (full-text article views including HTML views, PDF and ePub downloads, according to the available data) and Abstracts Views on Vision4Press platform.

Data correspond to usage on the plateform after 2015. The current usage metrics is available 48-96 hours after online publication and is updated daily on week days.

Initial download of the metrics may take a while.