Free Access

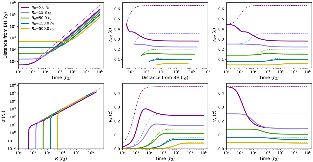
Fig. A.1.

image

Wind trajectories for vz, 0 = vrot and λEdd = 1. From top to bottom and left to right: distance r from the BH (where ) as a function of t; outflow velocity vout as a function of r (); vout as a function of t; trajectories of the wind in the z − R plane; vR (radial velocity) as a function of t; vz (vertical velocity) as a function of t. Solid (dashed) lines refer to the relativistic (classic) treatment.

Current usage metrics show cumulative count of Article Views (full-text article views including HTML views, PDF and ePub downloads, according to the available data) and Abstracts Views on Vision4Press platform.

Data correspond to usage on the plateform after 2015. The current usage metrics is available 48-96 hours after online publication and is updated daily on week days.

Initial download of the metrics may take a while.