Free Access

Fig. 2.

image

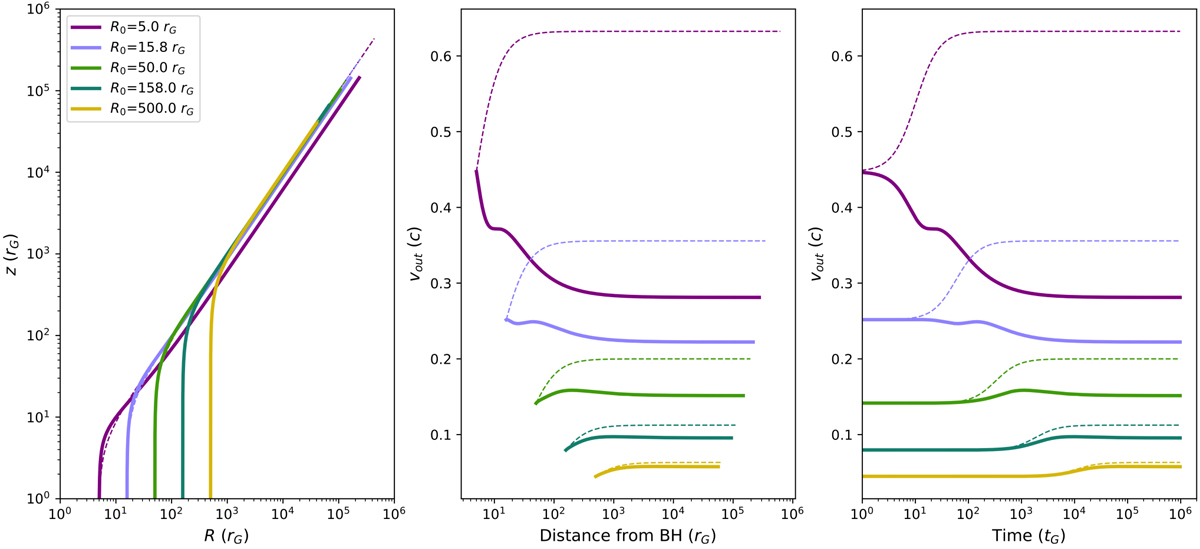
Wind trajectories for vz, 0 = vrot and λEdd = 1 in axisymmetric geometry. From left to right: trajectories of the wind in the z − R plane (x-axis corresponds to the radius and y-axis to the altitude from the disc plane); outflow velocity vout as a function of r (where , ); vout as a function of t. Solid (dashed) lines refer to the relativistic (classic) treatment.

Current usage metrics show cumulative count of Article Views (full-text article views including HTML views, PDF and ePub downloads, according to the available data) and Abstracts Views on Vision4Press platform.

Data correspond to usage on the plateform after 2015. The current usage metrics is available 48-96 hours after online publication and is updated daily on week days.

Initial download of the metrics may take a while.