Free Access

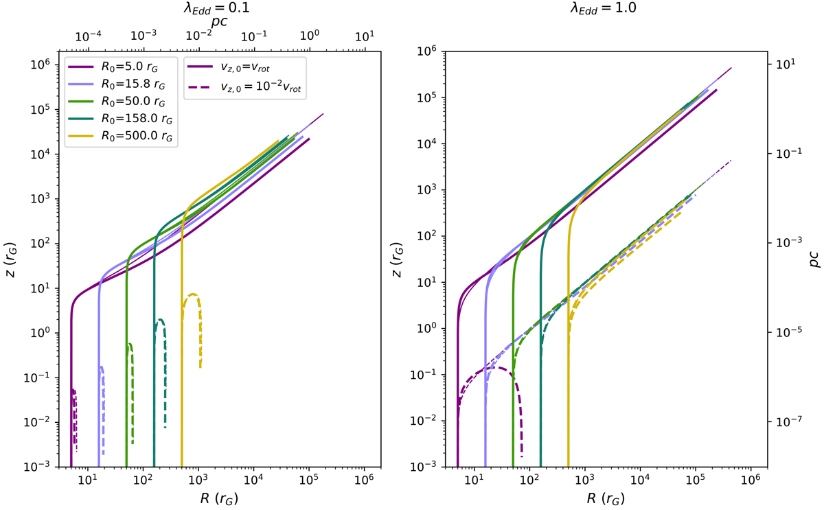
Fig. 4.

image

Trajectories of the wind in the z − R plane (y and x axis, respectively) for λEdd = 0.1, 1.0 (left and right panel, respectively). Solid (dashed) lines correspond to vz,0 = vrot(10−2 vrot). Thick and thin lines refer to the relativistic and classic (i.e. non-relativistic) treatment. Distances are reported both in units of rG and pc, where the latter are calculated assuming M = 108M.

Current usage metrics show cumulative count of Article Views (full-text article views including HTML views, PDF and ePub downloads, according to the available data) and Abstracts Views on Vision4Press platform.

Data correspond to usage on the plateform after 2015. The current usage metrics is available 48-96 hours after online publication and is updated daily on week days.

Initial download of the metrics may take a while.