Free Access

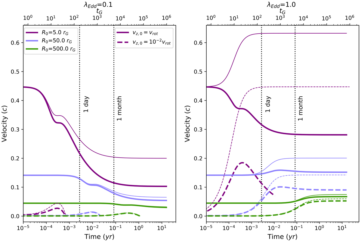
Fig. 5.

image

Velocity of the wind as a function of tG for λEdd = 0.1, 1.0 (left and right panel, respectively). Line styles as in Fig. 4. Times are converted from tG to yr assuming M = 108M.

Current usage metrics show cumulative count of Article Views (full-text article views including HTML views, PDF and ePub downloads, according to the available data) and Abstracts Views on Vision4Press platform.

Data correspond to usage on the plateform after 2015. The current usage metrics is available 48-96 hours after online publication and is updated daily on week days.

Initial download of the metrics may take a while.