Free Access

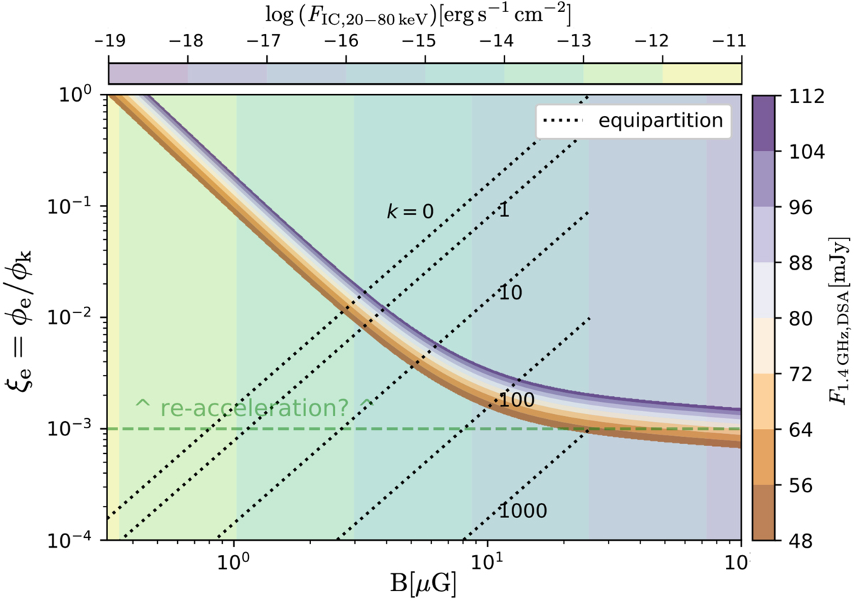
Fig. 10.

image

Electron acceleration efficiency (ξe) for the relic in MACS J0717.5+3745 vs. magnetic field (B). Calculations were performed assuming the DSA scenario (Hoeft & Brüggen 2007) using α = −1.16. The curve show the points that reproduce the S1.4 GHz flux density. Dashed black lines show the values obtained assuming equipartition for different values of k; see Locatelli et al. (2020) for details. The horizontal dashed green line shows the theoretical upper limit allowed by standard DSA, namely at ξe = 10−3. The background colors predict the IC flux expected in the 20−80 keV band, produced by the same electrons responsible for the relic emission. An acceleration efficiency below 0.01 results in the observed radio luminosity of the relic when the magnetic field is in the range B = 1 − 6 μG.

Current usage metrics show cumulative count of Article Views (full-text article views including HTML views, PDF and ePub downloads, according to the available data) and Abstracts Views on Vision4Press platform.

Data correspond to usage on the plateform after 2015. The current usage metrics is available 48-96 hours after online publication and is updated daily on week days.

Initial download of the metrics may take a while.